Participants: Benjamin COPHY
Aurélien PETIT
Mohamed MENSHAWY
Armine KARAPETYAN
Hashmat MOHAMMAD-YAR
10/02/2021 (tous) Nous nous sommes directement mis d'accord pour travailler dans le domaine du magnétisme, et après réflexion, le domaine du ferromagnétisme a contenté tous les membres du groupes. Désormais, le but est de préciser notre sujet. L'étude des cycles à hystéresis semble être une bonne idée.
17/02/2021 (Hashmat,Mohamed) En effet, nous pouvons observer le cycle hystérisis des matériaux avec un oscilloscope en faisant varier les paramètres suivants :
-la température du matériau pour déterminer son point Curie où l'aimantation permanente s'annule[mais elle semble assez élevée pour les matériaux utilisés, autour de 770 degré pour le fer, est-ce facilement atteignable ?] - l'amplitude champ magnétique extérieur - la fréquence du champ magnétique - le matériau lui même ( cependant, nos recherches nous ont conduit au fer,au cobalt et au nickel, et à part le fer, nous n'avons pas idée de la difficulté de procuration de ces matériaux ).
Nous pensons également qu'il est préférable d'intégrer une simulation numérique, afin de comparer expériences, simulation et théorie. Nous essaierons de simuler notre projet à l'aide du modèle d'Ising, mais ce point est à approfondir davantage.
Expérience: https://dumas.ccsd.cnrs.fr/dumas-01622088/document à partir de page45 : cette thèse peut nous permettre le montage d'un système permettant d'observer les propriétés magnétiques de nos matériaux, notamment avec le montage avec le cadre à bande unique.
https://www.epfl.ch/schools/sb/wp-content/uploads/2019/02/G1-Cycle-dhysterese-magnetique.pdf La figure 3 nous montre comment établir un montage qui peut nous permettre de varier le matériau ( le montage de la thèse ci-dessus est moins évident à comprendre, on doit essayer les deux possibles ) Les intégrateurs/inverseurs seront réalisés avec des boites AOP, des résistances, des bobines et des condensateurs, dont les valeurs devront être déduites par le calcul. Le problème est sur la construction du transformateur : est-ce facilement réalisable ou bien des transformateurs de ce type nous sont mis à disposition ?
Liste matériel: (nous n'avons pas trouvé de technicien)
3 AOP
5 résistances : 2x 1KΩ, 2kΩ, 3kΩ, 1MΩ plaçable sur une plaquette de prototypage
1 Condensateur : environ 160 nF (ou valeur la plus proche )
1 Oscilloscope
1 GBF
2 Multimètres
1 boîte à décades de résistances si possible
1 plaquette de prototypage avec une douzaine de câbles
1 boite d'acquisition pour envoyer les données de l'ocscilloscope sur l'ordinateur ( style boite Orphy )
03/03/2021 (Armine,Benjamin) Nous avons pu récupérer le matériel dont nous avons besoin. Modifications:
Réflexion sur les paramètres à faire varier: Il est difficile de se procurer des matériaux tel que le cobalt ou le nickel sous une autre forme que de la poudre. Donc réaliser l'expérience en étudiant d'autre matériau que le fer parait impossible à notre échelle.
f_recherche_bibliographique.pdf
etude_d_aimantation_livre_.pdf
10/03/2021(Benjamin,Mohamed,Hashmat)
Séance consacrée à la mise en place de nos expériences. Nous avons essayé d'effectuer un montage pour visualiser le cycle hystérésis du fer.
On a alimenté un transformateur constitué d'un cadre en fer et deux bobines avec un GBF et une résistance variable R1 côté primaire, puis nous avons branché un circuit intégrateur au secondaire afin de relever la tension aux bornes de la résistance R1 ainsi que celle en sortie de l'intégrateur pour tracer le cycle hystérésis en mode XY sur l'oscilloscope. ( des photos seront ajoutées ultérieurement ) Malheureusement, nous n'avons rien observé, seulement du bruit sans trouver de solutions.
Montage:
Montage:
Intégrateur:
17/03/2021 (Benjamin,Hashmat,Mohamed)
Un technicien nous a aidé dans notre montage. Il y avait un faux contact entre l'oscilloscope et le câble relié à la sortie de l'intégrateur. Nous avons pu confirmer le bon fonctionnement de notre circuit intégrateur. Nous avons également pu constater que notre résistance variable était défaillante et nous l'avons changé. Malgré ces changements, nous n'observions rien à l'oscilloscope. Nous avons pensé à amplifier nôtre signal avec un montage amplificateur composé d'AOP mais nous n'en avons pas eu le temps ce jour-ci. Cette séance nous a néanmoins permit de comprendre les indications écrites sur la bobine grâce au technicien, et de toujours faire attention aux branchements de nos câbles pour éviter tous les faux contacts.
Montage 2.0:
Montage 2.0:
Intégrateur 2.0:
24/03/2021(Benjamin,Armine,Mohamed,Hashmat)
Mr Dupuis nous a aidé dans la compréhension du sujet et sur notre expérience. En effet, le GBF que nous utilisions ne fournissait pas assez de courant pour observer un hystérésis. Le déphasage entre le primaire et le secondaire était de pi/2 donc il n'y avait aucune non-linéarité donc pas d'hystérésis. Nous avons donc utiliser un GBF de puissance, et avec celui-ci, nous avons observé un déphasage >pi. On peut donc en déduire qu'il y'a des non-linéarités mais non n'avons toujours pas réussi à observer le cycle hystérésis à l'oscilloscope. L'intégrateur seul fonctionne, la partie du transformateur aussi, mais la combinaison des deux ne fonctionne pas et on ne sait pas encore pourquoi. La semaine prochaine, nous essayerons d'enlever le circuit intégrateur et intégrer numériquement pour observer une hystérésis à l'ordinateur. Mr Dupuis nous a également éclairé sur le modèle d'Ising suite à nos questions car nous ne comprenions pas certains points.
31/03/2021(Mohamed,Benjamin)
Nous avons passé la séance à essayer d'intégrer numériquement, mais nous n'avons pas abouti. Les logiciels pour obtenir les signaux sur l'ordinateur ne fonctionne pas, la plaquette sysam non plus. Plus d'une heure et demi a été consacrée par le technicien pour y remédier mais le problème n'a toujours pas été résolu. Il va essayer d'arranger les logiciels pour mercredi prochain. A suivre la semaine prochaine donc. A tester : mettre un suiveur entre le secondaire et l'intégrateur, nous avons oublions d'essayer!!!
07/04/2021(Mohamed,Hashmat,Benjamin)
Nous avons essayé de changer le noyau de fer par celui de ferrite et faire notre propre bobinage pour voir si le problème venait de notre matériel. Cependant, les résultats n'ont rien donné de concluant. Nous avons également essayé de régler notre simulation Matlab, mais nous avons rencontré plusieurs problèmes sur le logiciel notamment sur comment lier des composants et des fonctions de transfert. Aucune solution n'a été trouvée.
14/04/2021(Hashmat,Mohamed,Benjamin)
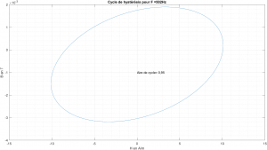
M.Dupuis nous a donné un nouveau transformateur à noyau de fer, qui semble bien fonctionner. Nous avons confirmer qu'il existait un déphasage entre le signal entrant dans le primaire et sortant du secondaire, signe d'un hystérésis. Nous avons relevé les signaux d'entrée et de sortie pour plusieurs fréquences, et on remarque un cycle mineur en mode XY. Nous avons abandonné notre intégrateur physique car le tout ne marchait pas, pourtant nous avons essayé de faire varier les valeurs des impédances mais le circuit n'a pas fonctionné. Pourtant, quelques semaines auparavant le même circuit fonctionnait…
Ainsi, nous avons plusieurs cycle hystérésis à analyser pour l'article.
Malheureusement, le cycle hystérésis de la ferrite est trop fin pour être exploité avec notre montage sans saturation, nous nous focaliserons donc sur le fer.


Nous avons décidé la répartition des tâches suivante :
- Armine/Aurelien/Benjamin : étude théorique des pertes énergétiques et introduction (domaine de Weiss etc)
- Benjamin/Mohamed/Hashmat : Expériences et mise en place
- Hashmat : étude des résultats expérimentaux + Simulation Matlab
- Mohamed : Simulation python Modèle d'Ising et intégration numérique
Code de simulation python : code_ferromagnetisme_ising.pdf
On a vu l'existence d'une température pour laquelle l'aimantation chutait fortement ( Température de Curie ) mais nous n'avons pas trouver de solutions pour faire l'expérience. On a penser à faire chauffer une tige de fer attirée par un aimant et relever la température pour laquelle la tige n'était plus attirée mais nous n'avons pas pu mettre en place l'expérience.
Liens qui m'ont permis de comprendre le modèle et qui ont fortement guidé mon code :
http://perso.eleves.ens-rennes.fr/~lgay/ising.pdf
http://l2ep.univ-lille.fr/fileupload/file/theses/Thesebenabou.pdf page 42-52
https://www.ceremade.dauphine.fr/~vigeral/Memoire2018Fraval.pdf page 11 à 14
https://tel.archives-ouvertes.fr/tel-00737547/document
Code de simulation Matlab : programme_matlab_transformateur.pdf
Votre documentation manque de texte. Il faudrait a minima rédiger en une dizaine de ligne ce à quoi vous avez pensé (même si au final le projet sera différent, 'Au début nous avions pensé à … mais au final à cause de … nous avons finalement décidé de … et donner des références, des liens vers des pages web, des vidéos qui vous ont inspiré. Vous aviez le temps la semaine dernière et entre la semaine dernière et aujourd'hui… Il vous faudra créer une page journal de bord où vous noterez vos contributions respectives (avec schémas, photos, vidéos…) de façon chronologique (Séance du XX/XX/XXXX, un tel fait ça… cela donne ça…
Concernant le sujet ferromagnétisme, comme indiqué brièvement lors de la première discussion il y a plein d'applications. A minima vous pouvez lire Wikipedia. Vous pouvez choisir d'étudier expérimentalement l'hysteresis de différents matériaux (du fer, des ferrites…). Vous pouvez utiliser des simulations numériques, par exemple le modèle d'Ising. Comment feriez-vous, comme ca ? de quel matériel avez vous besoin ? avez-vous pris contact avec les techniciens. Attention, le temps passe vite…
— Vincent Dupuis 2021/02/16 18:32