For this project we studied briefly the effects of an electrostatic field imposed upon a polarized particle. We designed an electrical device that allowed us to have a voltage difference of appoximatly 30kV between our cathod/anode. This difference of voltage (noted as “V” in the calculations), is found between an anode and a cathoded at a given distance (noted “d”).
From our limited “understanding” of Townsend discharges realised that we will need to create an electrostatic field sufficiently intense to accelerate the composition of air ( N2, O2, CO, Ar…) over our cathode/anode distance with enough final kinetic energy where the “ion/ion” or “ion/electron” or “ion/atom” collision would ionize.
We can simplify this system and consider the acceleration of a single particle in an electric field:
This graph shows us the relatively high ionisation energy of Nitrogen.
More accurately the Ei/mol of nitrogen are:
* 1st: 1402.3 kJ/mol
* 2nd: 2856.0 kJ/mol
* 3rd: 4578.1 kJ/mol
* 4rd: 7475.O kJ/mol
-Calculate the voltage (energy) required to ionise 1 particle
We now have two different generators:
We are still studying the relation of amperage/voltage required to ionize a given volume(mass) of air/nitrogen. We currently understand that a high voltage is required to ionize a gas. However we observed that a more powerful generator was able to ionize larger volumes of gas at a time. It was obvious that a generator of relatively High voltage was needed. Due to our limited knowledge of electronics we decided to simply make the highest voltage that we could in our FABlab with the materials made available to us.
==== High Voltage Generator====
Through some preliminary experimenting with some Spectral Lamps we realised that a glow-discharge state was desired as it gave us the most “responsive” plasma under the submission of magnetic fields. We present here a “qualitative graph” of the different “states” of neon plasma at 1 torr (133 Pa = 0.0013 Bar)
The first thing that was made obvious is that we will need a generator with variable control and a means to measure our system if we would like to reliably create a stable glow-discharge. However what is less obvious is the relation that pressure/distance will play on the the system. We were interested in creating plasma across a distance in the order of a few centimeters. This size will allow us to test and record the movements with the equiptment made available to us with a relatively good precsion. The machines of the FABlab SU all work within a tolerance of about 100microns and therefore we can work with a relative 1% margin of error.
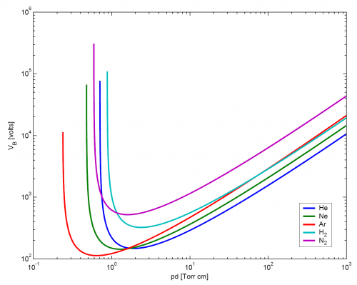
After Paschen's Law we were able to find a curve that represents the “break-down” voltage of N2 plasma in respects to the product of Pressure*Distance. We will see further on that our current vacuum limit is somewhere between 1,000 Pa - 10,000 Pa (7.5 torr - 75 torr)
From this we calculated that our product: 7.5<p*d<75 or roughly 10^1<p*d<10²
This calculation reaffirms that we will in fact need somewhere between 10kV-100kV in order to create a glow-discharge plasma.
The experiment for the Townsend Breakdown Voltage is explained here and is one of the first experiments that we wish to do on our system for the reasons of personal interest and machine calibration.
We built two different generator systems to fulfill this requirement. We started with a High Voltage DC power-supply which offered higher voltage and greater control. The second generator was a Neon Sign Transformer (NST) powered Tesla coil.

The problems, benefits, and disadvantage of each are explained just below.
=== DC ===
To create our DC High-Voltage generator we used a relatively simple NE555 timer and applied a astable circuit (page 10 of datasheet). The output of this pin was then linked to gate of Power-Mosfet IRF220. The drain and source of the mos were then in series between a 60W (5Amp max) lab generator. The Drain and Source of the Mosfet are then placed in parallel with the leads of a recycled FlyBack transformer salavaged from an old TV screen.
-include .gbr and .drl files ASAP-
This circuit is fairly straight forward to make and will require:
* Breadboard or CIF
* 1 NE555 timer
* 2 Capacitors (0.01uf and C2 (explained below))
* 3 Resistors (30ohm for Ra, 1Kohm for Rb & 10ohm to place in series before the Mos gate)
* 1 IRF220 PowerMos
* 1 Fly-back Transformer
Since the signal frequency (square wave) can be determine using the formula:
f= 1.44/(Ra+2*Rb)*C2
Since: (Ra+2*Rb)=2030
* C2=1mF ⇒ f=1 Hertz;
* C2=100uF ⇒ ff=10 Hertz;
* C2=10uF ⇒ ff=100 Hertz;
Since the Flyback transformer's datasheet indicated that it's peak operating frequency is that of 50Khz
we needed a C2=0.0000000096 F = 9.6nF
We must keep in mind that the duty-cycle of the output signal is:
D=Rb/(Ra+2*Rb)
By choosing the resistances that we did, we can have a our desired 50Khz signal while at the same time keeping a near 50% duty-cycle. Another final note is that we can keep the same duty cycle and frequency by increasing the Resistors by a factor X as long as we decrease C2 by a factor X. This maybe desirable to protect our NE555 from higher amps.
This photo demonstrates the relation between increasing Rb from for a circuit with a fixed C2 and Ra. We can see that increasing Rb will increase the duty-cycle as the frequency decreases. This is not desirable in our set-up as we are generally after high frequencies and a decreased Rb imposes a decreasing duty-cycle.
This next image demonstrates the relation between increasing Ra for a circuit with a fixed C2 and Rb. As we decrease Ra our frequency & duty-cylce increase.
We will improve upon our current circuit by replacing Ra and Rb with a variable-resistance. In order to do this we will not only need to replace the resistors but also determine a means to recover the actively changing values of Ra and Rb as their values will have a direct impact on the power of the circuit.
CIF BONUS
We chose to make our circuit using the CIF technodrill on PCB as we will be submitting this circuit to high Amps and we know that the breadboards tend to melt after just 1-2amps.
Our circuit was drawn on KiCad and we made sure to include 1mm traces everywhere and 2mm traces for the High Amp section of the circuit. I recommend using this amp/diameter chart to determine trace thickness for a given amperage.
Since we are operating at “high frequency” we propose that the electrical charge will follow the surface of the trace as it would a cylindrical wire due to electrical skin effect. Because of this we prose that:
Trace width (T) : T= 3.141*D where D is the wire diameter for the given Amperage required
In our case T=3.141*D(5amps) = 3.141*0.64mm = 2mm
When designing a circuit on KiCad make the track as large as you can (upto 2mm, unless high amperage requires more). The CIF is capable of 0.1mm trace widths, however this level of precision requires tedious calibration that will only add time to the work. It is also recommended to increase the pad size as large as possible.
To better understand what “as large as possible” means, we must consider the tool that we will be engraving with. The standard CIF PCB engraving tool is a 3mm 10degree engraving wedge. Pictured below:
Therefore our the width (W= of material that the tool will cut on either side of a trace will be:
W=2*D*Tan(Θ/2) : where D = depth that the engraver will plunge into the material and Θ = the engraver tip angle (in our case 10 degrees)
The thickness of the copper on PCBs can be found here. Standard thickness is 0.35mm. Therefore, D>0.35
This implies that W>= 0.06mm = 60 microns
Gallaad (the CIF operating system) will automatically off-set the tip of the engraver a distance of W from
the track. We will see however, that while fixing the PCB to the CIF, the distance from the engraver tip to the “XY plane” (ΔZ) will vary around 0.05mm at very best. Since the machine can not compensate for this, the variation in the Z will result in the narrowing/enlarging of the track width itself.
The width that is lost from the track (W') is equal to 2*ΔZ*Tan(Θ/2)
In our case, it is only 0.008mm. This however, is the BEST CASE SCENARIO. Until a CIF user is confident in their abilities and methodology, a minimum distance of 0.2mm between traces should be respected. This value will increase if the relative flatness of the “XY plane” is poor & if the angle Θ increases.
To best decrease the variation ΔZ apply the double sided tape evenly over the entire back surface of the PCB.
Using a multi-meter set to “ohms with beep indicator” attach the cathode to the engraver with the spindle off. Attach the anode to the copper plated PCB. Slowly descend the engraver on all four corners & center of the PCB and note the ΔZ**. Apply the above forumals to your setup, and verify that your track routing will support the variation with compromising the final circuit.
Note There are minor changes from the above KiCad photo to the final circuit
Our circuit was finally routed with relatively large insulating routes around the track. The machine spindle was set to 1/2 speed and the advancement was set to 8mm/second.
As all the capacitors we had were not rated for HV we had to build our own, so we first tested different techniques:
…
We then decided to do this in a more methodical way:
To create a HV voltage probe for this project we simply applied the classic “Voltage Divider” :
Where we used: Our Resistors (R1 & R2) were specialised High Voltage Resistors We selected the MOX-2-12 series as they resisted up to 20kV
Since our volt-meter only is reliable upto 2kV on its own, we needed to divide our input power by a factor of 10 to be able to read 20kV of our generator.
The values chosen were 100Mohm for R1 & 10Mohm for R2 (we had to add more resistors :80kOhm to R2)
R2 was then placed in parallel with the standard lab Multi-metre which we measure to have had an impedance of approximatly 13Mohm (we can call it R3).
Placed in Parallel with the Multi-meter: R2'= R2*R3/R2+R3 = 5.65Mohm
Finally we have an output voltage of: V(out)=V(in)*(R2'/R2'+R1)
V(out)= V(in) *0.053
where V(out) < 2kV Therefore, we have built a very basic high-voltage probe that can measure up to 37.7kV which surpasses our initial design goal.
-add margin of error-