Mail de Lola : lola.ciapa@espci.fr
Objectif : Mesurer la force de Laplace (en Newton, résultante des forces de Lorentz) que subit la tige qui bouge, et ce en fonction de la vitesse des électrons, donc de l'intensité du courant. On suppose le champ magnétique constant.
Résultante sur le rail de la Force de Lorentz sur les électrons. Vecteur vitesse et champ magnétique

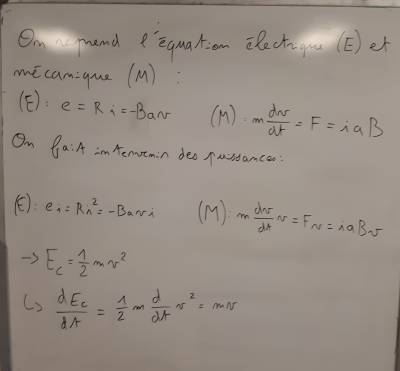
Expression de cette force sur des particules de charge q non nulle, pour un champs électrique E et un champ magnétique B
Vidéo explicative
Montage
Exo sur le rail de Laplace
Liste des capteurs de l'Arduino
Syntaxe du code OpenSCAD
Syntaxe du code Arduino
Exemple de projet de physique documenté
On a pris une planche de bois de dimensions 2,7×2,7×40,4cm (Largeur, hauteur, longueur) et l'avons simplement raccourcie de 3 cm afin que les rails en cuivre,
une fois les plaquettes fixées aux extrémités de l'axe principales, puissent tenir et même dépasser de quelques centimètres d'un certain coté.
On a d'abord réalisé les plaquettes sur Inkscape, puis nous les avons imprimées avec la découpeuse laser sur du contre-plaqué de 3,5 mm d'épaisseur
Une fois les perforations réalisées, il ne nous reste plus qu'a assembler le tout avec des vis pour bois de 2,5 mm de diamètre


Mesures effectuées:
On a essayé de faire fonctionner notre rail, sans succès, avec le montage du départ et les aimants posés sur l'axe principal.
Nous avons modifié les plaquettes de support de telle sorte que la tige mobile soit plus proche des aimants sur l'axe principal
On a donc décidé d'imprimer en 3D une forme de U afin de fixer de part et d'autre de celui-ci nos aimants, et “simuler” un aimant en U.
Essais en cours…
Voici la modélisation réalisée sur OpenSCAD:
Maintenant, il ne nous reste plus qu'à l'imprimer à l'imprimante 3D !!
Tout d'abord, afin de nous entrainer à programmer l'arduino, nous avons réalisé des programmes simples, comme par exemple un programme nous permettant d'allumer des LED alternativement et de façon plus ou moins rapide.
Ensuite, nous nous sommes intéressés à la programmation de l'écran LCD. Nous avons réussi à afficher ce que l'on souhaitait sur notre écran Arduino.
Voici notre programme :
“#include <LiquidCrystal.h>
LiquidCrystal lcd(12,11,5,4,3,2);
void setup() {
// put your setup code here, to run once:
lcd.begin(16,2);
lcd.setCursor(0,0);
lcd.print("Message");
}
void loop() {
// put your main code here, to run repeatedly:
}”
Ensuite, nous avons réussi à faire fonctionner notre laser Arduino.
Voici le programme du laser :
“const int Laser=2 ;
void setup() {
// put your setup code here, to run once: pinMode(Laser,OUTPUT);
}
void loop() {
// put your main code here, to run repeatedly: digitalWrite(Laser,HIGH);
}”
La prochaine étape était de faire fonctionner notre capteur laser.
Pour ce faire, nous avons connecter notre capteur laser à une alarme, une led, qui s'allume lorsqu'elle capte notre laser, afin d'avoir une information visuelle de la réussite de notre programme.
Le montage a d'abord été effectué à l'aide d'une photorésistance puis avec la photodiode.
Les montages de notre circuit sont les suivants :
Avec la photo résistance:
Avec la photodiode:
Voici l'ensemble du code :
“int pin =A0;
const int Laser=2 ;
void setup() {
// put your setup code here, to run once: pinMode(A0, INPUT); Serial.begin(9600); pinMode(Laser,OUTPUT);
}
void loop() {
// put your main code here, to run repeatedly: Serial.println(potentiel(pin)); digitalWrite(Laser,LOW);
}
float potentiel(const int pinPotentiometre){
/*Donne la tension en Volt au niveau de la pin analogique choisie*/
float result;
result = (float) analogRead(pin)*5/1023; return result;
}”
Nous avons également commencer à réaliser un montage avec notre écran et notre photodiode afin que la valeur s'affichant sur l'écran dépende des paramètres capté par notre photodiode. Ce programme est en cours de réalisation.
Suite à cela, nous allons perfectionner notre programme et ajouter le laser a notre montage afin que l'écran affiche oui si le laser éclaire notre photodiode et non sinon.
Finalement, nous avions pour but de mesurer le temps de parcours de notre petite tige métallique sur les rails puis d'en déduire sa vitesse de déplacement. Nous aurions comparé notre vitesse mesurée avec celle déduite des formules de Laplace et de Lorentz pour vérifier les expressions des forces de Laplace et de Lorentz.
Entraînement à la découpeuse laser :
cmi2020gr1
Liens utiles pour la syntaxe du wiki :
Les bases
Syntaxe complète
Idée d'achat de matériaux utiles:
Vidéo rail de Laplace https://www.youtube.com/watch?v=y6ow-CMG39M
Aimants: https://www.123-magnet.com/art-aimant-neodyme-disque-O20-x-5mm-3060.htm
Calculer le champ magnétique d'un aimant
https://www.supermagnete.fr/faq/Comment-calculer-la-densite-du-flux-magnetique
A 4 cm des barres: 0,004 T
A 2 cm des barres: 0,022 T
A 1 cm des barres: 0,08 T