Outils pour utilisateurs

Outils du site


wiki:projet:convection_2021_jeremie_nawell_et_daphne

CONVECTION

Projet d'UE encadré par par Loïc Labrousse et Pierre Thery

Porteurs du projet: Nawell Racofier, Daphné Kerhervé, Jérémie Viot

Logiciels utilisés :Python, Kinovea

Introduction

Notre objectif à terme est de modéliser la convection dans le manteau terrestre. Pour cela, nous allons mettre en place une expérience qui simulera ce phénomène en utilisant un fluide qui permettra la convection. Tout d'abord, nous savons que la propriété de transfert de chaleur d'un fluide par convection ou par conduction est déterminée par son nombre de Rayleigh (nombre sans dimension). Inférieur à une valeur de l'ordre de 1700, le transfert s'opère uniquement par conduction, tandis qu'au-delà de cette valeur c'est la convection qui prédomine.

Il est donc fonction des paramètres suivants :

- ΔT : différence de température entre le haut et le bas de la cuve

- g : la constante de gravité en m.s-2

- Lc : la hauteur du fluide dans la cuve en m

- α : coefficient de dilatation thermique en K-1

- κ : la diffusivité thermique en m^2.s^-1

- υ : viscosité cinématique en m^2.s-1

Il faudrait ainsi que dans la cuve ou nous allons modéliser le manteau, le ΔT soit assez grand pour permettre la convection. Dans notre modèle, nous avons deux nombres de Rayleigh: un pour un faible ΔT qui correspond à la différence de température entre le bas de notre cuve et un point proche du bas (haute température). Et un pour un grand ΔT qui correspond à la différence de température entre le bas de la cuve et un point proche du sommet (faible température). Nous pouvons ainsi voir le comportement de notre fluide et observer si il passe facilement de la conduction à la convection. Ainsi nous estimons que pour qu'on puisse réaliser cette expérience, nous devons avoir (pour un ΔT faible = 20 et ΔT grand = 70°C) un nombre de Rayleigh qui varie d'un facteur 100 entre le haut et le bas de la cuve.

Le choix du fluide est important. En effet dans notre modèle il nous faut passer de conduction à convection. Ainsi il nous faut un fluide qui présente une grande variation de son nombre de Rayleigh dans les gammes des paramètres de notre modèle.

Nous avons séparé le travail en deux groupes. Le premier groupe a pour but d'élaborer un protocole visant à observer un gradient de température à l’aide d’encres thermochromiques lors de la convection. Le second groupe doit déterminer les paramètres d'un fluide qui permettrait au mieux la convection.

Notre groupe travaille sur la seconde partie: Nous allons donc devoir déterminer la viscosité cinématique (υ), la dilatation thermique (α) et la diffusivité thermique (κ) de notre fluide.

Choix du fluide

Notre fluide parfait permettrait de faire varier son nombre de Rayleigh de manière conséquente en fonction de la température. D'après l'équation de celui-ci, nous pouvons jouer sur la dilatation thermique α, la hauteur Lc et la viscosité cinématique υ. Ainsi, en reprenant l'équation du nombre de Rayleigh, un fluide idéal pour notre expérience posséderait une viscosité cinématique qui évolue de manière importante en fonction de la température (environ d'un facteur 30).

Notre choix initial était le gel pour bougies. Cependant, pour le rendre liquide, il fallait le faire chauffer jusqu'à 75°C. Cela ne rentrait pas dans nos gammes de températures qui sont entre 20°C et 60°C environ. Notre choix s'est reporté vers le sirop de sucre. Celui-ci permettrait d'atteindre des grandes variations de viscosité pour nos gammes de température. Mais nous avons également trouvé un gel destiné à la fabrication de cosmétique qui présenterait de fortes variations de son nombre de Rayleigh, ce qui serait l'idéal pour la modélisation de la convection mantellique. En outre on dispose avec ce gel d’un fluidifiant qui permet de faire varier la viscosité. Nous avons donc décidé de réaliser nos expériences à la fois avec le sirop de sucre et avec le gel cosmétique afin d'observer les différences entre les deux.

Le sirop de saccharose

Création du sirop de saccharose

Nous avons dans un premier temps mélangé des morceaux de sucre dans de l'eau distillée dans l'objectif d'obtenir une concentration de saccharose de 70%). Nous avons dissous 140g de sucre dans 145 mL d’eau. Nous avons mélangé à l'aide d'un agitateur magnétique afin de faciliter la dissolution du sucre.

Mesure de la dilatation

Matériel:

  • ballon
  • plaque chauffante
  • thermomètre
  • sirop de sucre
  • règle

Dans le but de mesurer la dilatation thermique de notre sirop, nous avons mis en œuvre le protocole expérimental suivant: Nous avons placé le sirop de sucre dans un ballon muni d'un long col que nous avons fait chauffer sur une plaque chauffante. Nous avons mesuré la variation de la hauteur de liquide le long du col à différentes températures afin d'en déduire la variation de volume.

Nous obtenons les points suivants que nous avons fitté selon une régression linéaire:

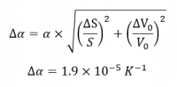
La formule permettant de retrouver le coefficient de dilatation α est la suivante:

Incertitudes: Les incertitudes sur cette expérience peuvent avoir plusieurs sources. Tout d'abord, nous avons fait la supposition que notre sirop était en permanence à la même température que notre bain marie. Nous avons vérifié cette hypothèse par la suite en plongeant un thermomètre dans le sirop et il s'est avéré que la différence de température était très faible Une autre source d'incertitude vient de la hauteur du fluide dilaté (imprécisions des repères sur le col). Les incertitudes viennent également du volume initial et de la surface du cylindre dans lequel on l'a dilaté.

Nous avons pris comme incertitude pour le volume V0: 1 mL. Pour la surface nous avons pris 1*10^-5 m^2

Mesure de la viscosité cinématique

Matériel:

  • Eprouvette graduée
  • sirop de sucre
  • caméra
  • pince
  • bille
  • règle

Pour cette expérience, nous avons fait couler une bille dans notre sirop. Nous avons tout d'abord versé notre sirop dans une colonne transparente suffisamment haute comme lors de la mesure de la dilatation, nous acquis les données à l'aide d'une caméra. Afin de minimiser les incertitudes, nous avons renouvelé l'expérience 5 fois

Grâce à cette expérience nous sommes en mesure de déterminer la viscosité dynamique à l'aide des formules suivantes:

Détermination de la vitesse limite:

Calcul de la viscosité dynamique:

Puis de la viscosité cinématique

Incertitude: Nous avons supposé que la vitesse limite était atteinte dès le début du lancé de la bille. En effet, la chute étant très rapide (moins d'une seconde), nous n'avons pas pu estimer quand la vitesse limite était réellement atteinte. Nous avons également une source d'incertitude au niveau de l'analyse d'image. En effet, il était difficile d'apercevoir la position précise de la bille lors du déroulé du film.

Nous avons enfin mesuré la viscosité cinématique mais cette fois dans un sirop à 70°C:

Le gel cosmétique

Après avoir fait nos expériences sur du sirop du saccharose, nous avons décidé d'utiliser un gel cosmétique qui semblait avoir de bonnes propriétés pour modéliser la convection.

Fabrication du gel

Nous avons déterminé les proportions de gel à l'aide du second groupe de convection. En effet, nous voulions trouver des proportions entre le gel et le fluidifiant qui permettrait la convection avec les encres et qui rendrait le gel plus simple à manier.

Nous avons donc trouvé:

91% de gel, 9% de fluidifiant

Mesure de la dilatation

Nous avons utilisé le même protocole que précédemment en remplaçant le sirop par du gel. Cette fois la dilatation a été beaucoup moins importante.

Nous avons pris une température initiale T0 de 18°C et une température finale Tf de 70°C. Entre ces deux températures, le gel s'est dilaté de 4 cm.

Incertitudes:

Mesure de la viscosité cinématique

Comme pour le sirop, nous avons fait tomber une bille dans une éprouvette remplie de fluide.

Nous obtenons le graphique suivant:

Nous avons donc une vitesse limite de Vlim = 5.56*10^-5 m/S

Calcul de la viscosité cinématique:

Discussion des résultats: Selon les résultats, le sirop de sucre possède un coefficient de dilatation thermique plus important que le gel cosmétique. ⍺ étant au numérateur de l'équation du nombre de Rayleigh, cela signifie qu'un plus grand coefficient de dilatation thermique provoque un plus grand nombre de Rayleigh, et donc un fluide qui convecte facilement et rapidement, car l'augmentation de volume pourrait déclencher le mouvement du fluide. De plus, le gel a une viscosité plus élevée que le sirop, près de 10 000 de plus. Le nombre de Rayleigh pour le gel serait donc inférieur à celui du sirop, donc le gel serait plus difficile à faire convecter que le sirop. Chauffé, le sirop de sucre a une viscosité inférieure à celle qu'il possède à température ambiante. Néanmoins, le rapport νm/ν70 est faible, seulement 1,41. La variation de viscosité entre le fluide chauffé et ambiant ne suffirait pas à modifier le comportement du fluide. Concernant les incertitudes, nous avons dû faire quelques hypothèses: nous avons considéré le fluide dans le ballon lors de l'expérience de dilatation à la même température que le bain-marie . Si cela peut être tout à fait le cas pour le sirop de sucre qui est un assez bon conducteur thermique, le gel qui est très visqueux est beaucoup plus difficile à réchauffer, et sa température peut ne pas être à la température du bain-marie. Nous avons également simplifié en considérant le gel comme un fluide homogène, seulement, le gel est un fluide hétérogène, en effet il contient des bulles d'air. De plus, nous avons fait une autre hypothèse: pour la bille dans le sirop, nous avons considéré la vitesse limite atteinte dès le début de la chute, en raison de la vitesse élevée de chute. Enfin, nous n'avons pas répété toutes nos expériences, et donc des études statistiques, en raison des imprécisions des matériaux et des méthodes qui ne permettaient pas des expériences rigoureuses. Le gel cosmétique est très peu pratique à manipuler, en raison de sa très haute viscosité. Il est très difficile à manipuler avec les matériaux proposés par le Fablab et entraîne de grosses imprécisions dans les mesures. Les expériences sont difficiles à répéter. Nous ne recommandons pas de l'utiliser pour le modèle, sans trouver de meilleurs techniques pour le manipuler.

CONCLUSION

D'après les résultats, le gel serait beaucoup plus difficile à faire convecter que le sirop. Néanmoins, le sirop de sucre convecterait très rapidement et sa conduction serait difficile à étudier. La mesure de la diffusivité thermique peut être nécessaire pour calculer le nombre de Rayleigh et conclure sur le fluide qui convient le mieux au modèle. Cependant, les inconvénients du gel doivent être gardés à l'esprit.

Journal de bord

28/01 Présentation du fablab et des projets.

05/02 Première expérience pour mesurer la viscosité d'un gel à bougie. Expérience non concluante en raison de la température à laquelle on doit faire chauffer le gel pour le rendre liquide. Changement du choix de fluide. Recherche sur le sirop de sucre

12/02 Recherche sur le sirop de sucre. Prise en main de Matlab

19/02 Préparation du protocole des expériences, choix de la concentration de sucre.

05/03 Recherche sur les formules de la viscosité cinématique et de la dilatation thermique.

12/03 Expérience de mesure de la viscosité cinématique pour notre sirop de sucre

19/03 Expérience de mesure de la dilatation du sirop de sucre.

09/04 Travail en salle , wiki et traitement d’images début des expériences avec le gel. Détermination avec l'autre groupe de convection des bonnes proportions gel/fluidifiant avec d'avoir un fluide qui puisse convecter et qui soit permette la diffusion de colorant. Expérience de la chute de bille dans le gel

16/04 Expérience de la dilatation du gel

07/05 mesure du volume du ballon servant à la dilatation

Bibliographie

M. Quintas, T.R.S. Branda˜o, C.L.M. Silva, R.L. Cunha, (Journal of Food Engineering · December 2006), Rheology of supersaturated sucrose solutions

versagel-complete.pdf

David W. Ball, The Chemical Composition of Maple Syrup, 2007

LDAP: couldn't connect to LDAP server
wiki/projet/convection_2021_jeremie_nawell_et_daphne.txt · Dernière modification: 2021/05/20 22:33 de daphne.kerherve@etu.sorbonne-universite.fr