Projet d'UE de L3 encadré par Loïc Labrousse et Pierre Thery
Matéo FRANCOISE, Noé LE BECQ et Charlie MARCONNET
Contacts : mateo.francoise@etu.sorbonne-universite.fr, noe.le_becq.2@etu.sorbonne-universite.fr, charlie.marconnet@etu.sorbonne-universite.fr
Vidéo de l'un des impacts réalisés au cours de ce projet
Le but de notre projet est de modéliser les cratères d’impact et de chercher à établir un lien entre les différents paramètres physiques de cet évènement (quantité de mouvement, lithologie du substrat, etc…) et la forme et la taille du cratère. Mais avant de commencer, qu’est-ce qu’un cratère d’impact ?
Il existe de nombreux astéroïdes qui voyagent dans notre système solaire,
et le plus souvent, ils se résument à des simples agrégats de roches et de glace de dimensions variées (l'astéroïde Ryugu, ci-joint, photographié par la sonde Hayabusa2 en 2018 mesure par exemple un peu moins d'1km de diamètre).
Lorsque l’un de ces corps croise la route d’une planète, il se peut que ces petits objets, à l’échelle de notre système solaire et de l’univers, aient des conséquences énormes. En effet, lorsqu’un objet extraterrestre entre dans l’atmosphère terrestre, le plus souvent, il se désintègre avant même d’atteindre la surface, à cause de l’échauffement lié aux frottements des gaz (on parle alors de « bolide »). Néanmoins, lorsque le météore est assez gros, il se peut qu’il n’ait pas le temps de se disloquer entièrement et qu’il impacte la surface de notre planète. En résulte alors une déformation de la surface terrestre : un cratère ! Cette dépression de forme circulaire peut-être de taille variée en fonction de la taille et de la vitesse de l’astéroïde, et les différents cratères peuvent avoir des formes assez diverses. On en trouve un certain nombre à la surface de notre planète, même si leur durée de vie reste limitée car ce sont des structures plutôt sensibles à l’érosion et les cratères disparaissent donc peu à peu avec le temps. Néanmoins, si vous voulez en voir depuis votre balcon, il vous suffit de lever les yeux vers le ciel et d’observer la lune ! Sa surface est en effet parsemée de cratères de tailles variées largement visibles à l’œil nu ou à la jumelle.
L'objectif de cette section va être de présenter les différents types de cratères d'impact observables sur Terre, mais également sur la Lune et sur Mars. Nous allons essayer de décrire les structures caractéristiques afin de pouvoir plus tard les reconnaitre sur notre modélisation.
Tout d'abord, il est très important de savoir que la forme et la taille d'un cratère dépendent d'un très grand nombre de paramètres, parmi lesquels on compte bien évidement la vitesse de l'impacteur, sa taille et son angle d'arrivée. Mais il faut également prendre en compte la lithologie de l'impacteur et de la croute terrestre mais aussi les paramètres environnementaux (l'eau par exemple).
Il est également essentiel de comprendre qu'après l'impact, le cratère va évoluer et sa morphologie va changer, notamment à cause des phénomènes d'érosion et d'altération bien connus en géologie. Cette érosion étant bien plus importante sur Terre que sur Mars ou la Lune, à cause de son atmosphère, de son activité tectonique et de sa biosphère, nous prendrons plus souvent comme exemple des cratères martiens et lunaires afin de pouvoir les comparer avec les nôtres.
Pour comprendre comment se forme un cratère, il faut essayer de reconstituer le fil des évènements de son apparition. En effet, lorsque la météorite arrive au niveau du sol, elle y pénètre très largement, propageant devant elle une onde de choc d'une puissance considérable. Le sol se comporte alors comme une matière élastique dans un premier temps, en se déformant et se comprimant en formant une cavité circulaire. Lorsque le trou atteint sa dimension maximale, on parle de cratère transitoire.
La croûte se décomprime ensuite brutalement, et reprend alors sa place (rebond), projetant le sol vaporisé, fondu et morcelé dans toutes les directions sous forme de “cône inversé”. On désigne alors les fragments de roche expulsés du cratère comme des éjectas. Les débris projetés à haute altitude retomberont en pluie sur le cratère et ses environs pour s'accumuler dans l'ordre inverse de leur sortie. Le cratère s'entourera d'une couverture d'éjecta dont l'épaisseur diminuera avec la distance au point d'impact. De plus, les parois du cratère vont se stabiliser et la pente va s'adoucir par effondrement et glissement de terrain. Les débris, brèches et éboulements retombant dans le cratère contribuent ainsi à diminuer sa profondeur.
Il ne reste alors que le cratère final dont la forme dépendra de l’énergie libérée. Il se stabilisera lentement pendant les semaines qui suivront l’impact, avant que l’érosion ne commence à l’entamer.
Si l’on s’intéresse à la morphologie des cratères d’impact, on remarque qu’il existe deux types de cratères caractéristiques :
→ A gauche le “meteor crater” aux Etats-Unis et à droite un cratère du pôle Sud de la Lune.
→ A gauche un cratère complexe sur la lune (Tycho) et à droite un autre cratère complexe sur Mercure.
Cette différence de morphologie dépend directement de l’énergie de l’impact. Pour les impacts de faible intensité, on observera un cratère simple, tandis que pour les impacts plus importants, on pourra distinguer un pic central et donc voir un cratère complexe. Dans le cas rare des impacts les plus puissants, le pic central peut s’élever au-delà de sa hauteur de stabilité et retomber à nouveau, créant ainsi des anneaux. On parle alors de cratère à anneaux multiples et l’un des meilleurs exemples se situe sur la lune de Jupiter Callisto.
Afin de comparer les structures présentent sur les cratères que nous allons obtenir avec notre modélisation, il faut tout d'abord référencer et définir ces structures dans un cas d'impact réel (ici avec le cratère complexe de Copernic sur la Lune).
1. Plancher: fond du cratère.
2. Murs: rebords intérieurs du cratère.
3. Bord: rebord supérieur des murs du cratère.
4. Pic ou piton central: zone surélevée au centre des cratères complexes.
5. Ejecta: fragments de roche éjectés du cratère lors d’un impact météoritique.
6. Trainées radiales: stries brillantes d’éjectas qui s’étendent à partir du cratère.
Il est primordial de noter que la formation d'un cratère d'impact met en jeu des quantités d'énergies phénoménales que l'on ne rencontre nulle part ailleurs sur Terre pour des échelles de temps aussi courtes. Tout est gigantesque et démesuré et les contraintes ainsi que les déformations mises en jeu (relevant du métamorphisme lié au choc) sont colossales.
Pour un temps très court, on observe des variations de pression et de température très importantes ! On atteint ainsi plusieurs milliers de degrés et la pression peut parfois atteindre plusieurs millions de bars.
Les roches les plus exposées vont donc réagir de manière très importante et se vitrifier à l'état solide sans phénomène de fusion (transformation à l'état solide). Pour d'autres, on observe la fusion totale ou partielle de certains minéraux ou enfin même une vaporisation totale !
Il faut également savoir qu'en plus des différences de pression et de température gigantesques, la vitesse de l'impacteur est telle que la déformation de la croûte terrestre est incroyablement rapide. En l'espace de quelques secondes, des cuvettes de plusieurs dizaines, centaines et même milliers de kilomètres de diamètre se mettent en place.
Il est alors primordial de comprendre que même si nous arrivons à recréer un modèle le plus réaliste possible, des phénomènes nous échapperons toujours car impossible à reproduire à notre échelle. A l'aide de notre modèle analogique, nous ne pourrons bien sûr pas reproduire de contraintes aussi énormes et cela limitera donc quelque peu le champ de notre analyse. Nous pourrons ainsi nous approcher d'un véritable cratère d'impact sans pour autant reproduire exactement les phénomènes extrêmes qui ont lieu lors de sa création.
Maintenant que nous en savons plus sur les cratères d'impact réels, le but de notre projet va être de créer un modèle analogique le plus fidèle possible pour s'approcher au mieux de la représentation d'un cratère d'impact tel qu'observé sur Terre ou sur la Lune.
Nous comparerons ainsi la forme des cratères obtenus grâce à notre modèle avec les cratères décris précédemment, et nous tenterons d'établir un lien entre la quantité d'énergie cinétique de l'impacteur et la taille ainsi que la forme du cratère.
Dans un premier temps, nous allons décrire le protocole suivit pour la fabrication du bac de réception, le choix du substrat représentant la croûte terrestre, et l'étude théorique de la vitesse de chute libre.
Et dans une deuxième partie, nous présenterons les résultats obtenus avec notre modèle et les analyserons pour répondre aux questions évoquées précédemment.
Nos premiers essais de lancers ont été fait dans une bassine en plastique de 42,5 cm de diamètre sur 22 cm de profondeur. Nous nous sommes vite rendu compte qu'en lâchant les billes d'une hauteur de 31 mètres (dernier étage d'une rotonde de tour de Jussieu), les principaux éjectas du substrat sortaient de la bassine. De plus, la déformation du substrat liée à l'impact de la bille était restreinte par les bords de la bassine.
Nous avons donc opté pour un plus grand réceptacle, un bac sur pieds roulants d'un mètre de longueur, 80 cm de largeur et 21,5 cm de profondeur, construit par nos soins (avec une palette, des planches et des chevrons), afin de négliger l'effet des bords de la bassine sur la déformation et d'avoir des cratères d'impacts entiers. Néanmoins, le bac n'est pas encore assez grand pour contenir les éjectas les plus fins (négligeables) lorsque la bille est lâchée d'une hauteur importante.
Il nous a ensuite fallut choisir un substrat de réception en guise de modèle analogique de la croûte terrestre. Ce substrat doit nous permettre d'avoir un cratère d'impact bien formé à l'arrivée de la bille, il ne doit donc pas être trop meuble ni trop compact.
Nous avons réalisé plusieurs tests de substrats différents:
- Sable de quartz (grains de 0,1 à 0,5mm) seul. Le cratère s'affaisse directement et la bille s'enfonce trop. Le rendu n'est pas concluant
- Farine de blé seule, le cratère formé se résume à un tunnel vertical, on ne retrouve aucune forme caractéristique d'un cratère d'impact. Pas concluant.
- Semoule (moyens grains) seule, comportement à peu près analogue au sable seul.
- Mélange 2/3 semoule, 1/3 farine. Pas concluant, trop meuble.
- Mélange 1/2 semoule, 1/2 farine. Pas concluant, on retrouve la forme de tunnel de la farine seule.
- Mélange 1/3 semoule, 1/3 farine, 1/3 sable (proportions en volume !), la forme du cratère obtenu est assez représentative avec ce mélange (voir photo ci-dessous), on opte donc pour ce mélange en guise de substrat de réception.
Mesures des masses volumiques et masses des différents composants de notre mélange final:
| Sable de quartz fin | Farine de blé | Semoule moyens grains | Mélange final | |
|---|---|---|---|---|
| Masse Volumique (kg/m³) | 1493 ± 10 | 719 ± 11 | 791 ± 5 | 1432 ± 60 (mélange tassé) |
| Volume (m³) | 0,01656 | 0,01656 | 0,01656 | 0,04968 |
| Masse utilisée (kg) | 25 | 12 | 13 | 50 |
A noter que nous avons ajouté en surface du mélange une fine couche d'un sable rose avec quelques gros grains de quartz afin de bien visualiser la forme et la taille du cratère d'impact.
En raison d'un problème de stock de semoule disponible, nous avons du utiliser deux types de semoules différentes mais, après mesures, de même masse volumique. Cela ne changera donc rien à la texture de notre substrat de réception.
En guise d'impactant (qui va servir de matériau analogue à une météorite), nous avions le choix entre 3 billes en acier au chrome de différentes tailles. Après plusieurs tests de lancer, nous avons opté pour la plus grosse bille qui donne incontestablement de meilleurs résultats au niveau du cratère d'impact. Cette bille à un diamètre de 30 mm et pèse 110,2 g. On en déduit son volume avec la formule du volume d'une sphère (V = (4π*R³)/3) et par conséquent sa masse volumique qui est de: ρ = 7816 kg/m³.
Pour effectuer nos mesures et les observations des cratères d'impact nous avons fait varier la hauteur du lancer de l'impactant de 3,75 m à 31 m dans une rotonde d'une tour de Jussieu. Le lancer de la bille s'effectuait à la main étage par étage. Au premier étage, le lancer est relativement précis avec une trajectoire verticale quasiment rectiligne mais au dernier étage la tâche est nettement plus compliquée. En effet, avec la hauteur, la précision du tir est moins bonne et sa trajectoire moins rectiligne (un très léger mouvement de poignet au moment du lancer modifie la trajectoire de la bille), ceci va donc impliquer un léger angle d'incidence au niveau de l'impact mais que nous allons négliger par la suite.
Ce projet est basé sur l'observation de la forme, de la taille et de la profondeur des cratères d'impacts en fonction de la vitesse d'impact et donc de la hauteur du lancer. Pour réaliser ces observations ainsi qu'une étude physique la plus complète possible, nous devons effectuer plusieurs mesures différentes.
- Mesure du temps de chute de la bille: au chronomètre, qui est déclenché au moment ou la bille est lâchée et qui est arrêté au moment de l'impact. Afin d'avoir une meilleure précision et d'estimer une incertitude sur le temps de chute, 3 à 4 mesures par étages ont été effectuées.
- Mesure de la hauteur de chute: au télémètre laser d'une portée de plus de 50 mètres. Ce mode de mesure est assez précis mais nous avons quand même réalisé plusieurs mesures à chaque étage pour estimer une incertitude sur la hauteur.
- Mesure de la vitesse d'impact de la bille: chaque impact des différents lancers a été filmé en 240 images par secondes avec un téléphone portable placé sur un trépied à côté du bac de réception. S'en suit un traitement des vidéos avec le logiciel “Kinovea” qui permet de faire un pointage de la bille juste avant son arrivée dans le bac et d'estimer sa vitesse d'impact. Néanmoins, pour les derniers étages, les vitesses d'impact étant relativement élevées, un précision de 240 images par seconde est un peu juste pour estimer une bonne valeur de ces dernières. En effet, le cadre de caméra utilisé correspond à un champ de vision de 1m au-dessus de la zone d'impact. Cependant, lorsque la bille arrive à grande vitesse, malgré les 240 images par seconde, on ne peut pointer la bille que sur 2 images, ce qui est insuffisant pour avoir une mesure fiable. De plus, un pointage précis nécessite d'avoir une échelle à la même profondeur de champ que l'endroit où chute la bille. Les lancers étant précis à une 20aine de cm, l'échelle n'est parfois pas au même niveau que la bille et cela entraine des différences de l'ordre de 10% lors du pointage et de la mesure de vitesse d'impact de la bille.
- Mesure de la taille des cratères: après un lancer, plusieurs photos du cratère d'impact sont prises dans différents angles pour tenter de faire du traitement d'image et repérer les différentes structures du cratère. Les mesures du diamètre du cratère et de sa profondeur (avec la bille encore à l'intérieur puis avec la bille extraite avec un aimant afin de limiter la déformation du cratère) sont réalisées avec une règle graduée.
Pour cette partie nous tenterons de modéliser la chute de la bille et de prévoir sa vitesse à l'impact. Nous pourrons ainsi avoir une idée de la quantité de mouvement et de l'énergie que la bille transmet au substrat au moment du choc.
Nous allons ici prendre le cas classique d'une chute libre sans vitesse initiale (nous avons fait de notre mieux pour “lâcher” les billes et ne pas les jeter). Nous pouvons donc prendre en compte l'action de trois forces sur notre bille: le poids, une force de frottement (que l'on appelle la “trainée” de l'air) et la poussée d'Archimède.
Ces forces sont donc définies comme suivant:
La variable “S” correspond au maître-couple lié à notre objet, autrement dit il s'agit de la surface que verra le frottement. Une définition plus physique revient à dire que le maître-couple est la section droite de l'objet perpendiculaire au mouvement. Cela pose problème pour un objet classique qui risque de subir une légère rotation pendant sa chute. Une sphère ne connait pas ce problème car la section serra toujours la même quel que soit l'angle d'observation: un disque.
On applique par la suite le principe fondamentale de la dynamique (seconde loi de Newton) selon lequel la masse multipliée par l'accélération est égale à la somme des forces s'appliquant sur notre objet. Étant donné que nous cherchons la vitesse de l'objet nous n'étudierons pas les moments des forces s'appliquant sur la bille. On a donc l'équation suivante:
On considère donc ici deux cas, le premier en négligeant la poussée d'Archimède et le second en la prenant en compte. Dans les deux cas, cela nous donne une équation différentielle reliant la dérivée de la vitesse à son carré. La poussée d'Archimède vient juste modifier une constante.
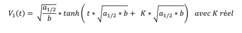
Une telle équation semblant assez complexe à résoudre à la main, nous l'avons réalisée grâce au logiciel “Wolfram Alpha” (confirmée par d'autres logiciels ainsi que la réinjection de la solution dans l'équation). La solution donnée est la suivante:
Il nous faut maintenant déterminer la constante d'intégration. On utilise donc les conditions initiales: comme expliqué précédemment nous avons fait de notre mieux pour lâcher la bille et ne lui conférer aucune vitesse initiale. On prend donc la condition telle qu'au temps 0, la vitesse est nulle. On trouve ainsi que la constante K est nulle. Cela nous donne donc la formule de la vitesse suivante:
Après avoir calculé les deux modèles de vitesses, nous nous rendons compte que l'écart relatif entre les deux modèles ne dépasse pas 1.8%, nous permettant ainsi de ne considérer que celui sans la poussée d'Archimède.
| V1(t) | δ(V1) | V2(t) | δ(V2) |
|---|---|---|---|
| 7.60 | 0.85 | 7.60 | 0.85 |
| 12.05 | 0.93 | 12.05 | 0.93 |
| 15.71 | 1.01 | 15.71 | 1.01 |
| 17.92 | 1.19 | 17.92 | 1.18 |
| 19.64 | 1.22 | 19.64 | 1.22 |
| 21.31 | 1.25 | 21.31 | 1.25 |
| 22.94 | 1.39 | 22.93 | 1.39 |
| 23.73 | 1.10 | 23.73 | 1.10 |
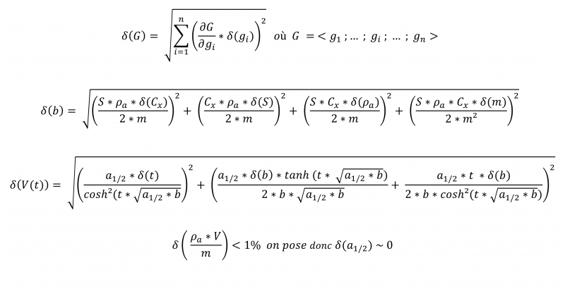
Passons maintenant aux formules d'incertitudes permettant d'obtenir ces valeurs.
Nous utiliserons, pour notre projet, la formule générale de propagation des incertitudes. Elle est définie comme suivant, pour une fonction G dépendant des variables gi :
Les incertitudes sur les coefficients proviennent des appareils de mesure ou bien des conditions de notre expérience. Par exemple, nos expériences ayant été réalisées entre 5 et 15 °C et à pression atmosphérique, nous avons pris une masse volumique de l'air comprise dans ces conditions. Pour la masse en revanche, l'erreur provient de la balance, précise à plus ou moins 1 gramme. L'incertitude sur le temps à été obtenue après plusieurs mesures de chute de la même hauteur au chronomètre pour faire une moyenne et minimiser l'incertitude sachant que celle du chronomètre est négligeable par rapport au temps de réaction de l'être humain. L'incertitude sur la hauteur provient des mesures au pointeur laser, une fois de plus avec plusieurs mesures pour les mêmes raisons. Les incertitudes sur la surface et le volume de la bille proviennent de l'incertitude sur la mesure du rayon de la bille (puis par propagation des incertitudes lors de l'extension des dimensions).
Concernant le coefficient aérodynamique Cx, il faut regarder ce qu'il se passe pendant le mouvement. En effet, de nombreuses études ont été réalisées quant à l'évolution de ce dernier lors de l'écoulement d'une bille dans un fluide (ici de l'air). Cette constante dépend en réalité du nombre de Reynolds, lui-même fonction du diamètre de la sphère, de la viscosité cinématique du fluide et de la vitesse relative du fluide, ici approximée comme étant la vitesse de la bille à tout instant “t”:
D'après Matthieu BARREAU - AERODYN
L'avantage de notre expérience est qu'en considérant le diamètre de la sphère, une viscosité cinématique de l'air dépendant de l'intervalle noté plus haut (Température entre 5°C et 15°C, Pression d'environ un atmosphère) et enfin la vitesse de la bille dans un intervalle d'un mètre par seconde pour le minima et de 25 mètres par seconde pour le maxima, notre coefficient aérodynamique reste à peu près constant. Lorsque l'on calcule le nombre de Reynolds, on se rend compte que pour un tel intervalle, le nombre Cx est presque constant et peut être ainsi noté:
Cx = 0.43 ± 0.03
On note même que cette valeur se vérifie pour une vitesse minimale de 0.62 mètre par seconde. En sachant que notre étude se fait sur une chute allant jusqu'à huit étages et qu'en un seul étage la bille atteint déjà 7 mètres par seconde (mesuré), on se permet de négliger la partie du mouvement pour une vitesse de 0 à 0.62 mètre par seconde. (On note toutefois, bien que cela dépasse sans doute notre projet, qu'il serait possible d'intégrer une fonction de Cx pour cette partie de la chute de manière à trouver une autre fonction de vitesse, donnant au final une fonction continue par morceaux)
On a les valeurs d'incertitudes suivantes, d'après les formules qui précèdent:
| Variables | m (en g) | S (en m²) | b (1/m) | t (en secondes) | ρ de l'air (kg/m³) |
|---|---|---|---|---|---|
| Valeurs | 110.2 | 7.1E-04 | 0.00343 | de 0.78 à 2.6 | 1.243 |
| Incertitudes | 0.1 | 4.7E-05 | 0.00016 | de 0.08 à 0.12 | 0.026 |
Enfin, on ne prend pas en compte d'incertitude pour g = 9.81 m/s².
Etat donné que nous connaissons désormais le modèle physique d'une chute avec frottements, nous pouvons le comparer à un modèle simple sans frottement (v = sqrt(2gh)). De plus, nous avons mesuré les vitesses de l'impacteur au moment du contact par traitement vidéo et nous allons donc pouvoir vérifier si les valeurs mesurées correspondent bien aux valeurs calculées.
Nous avons donc tracé le graphique ci-dessus qui représente la vitesse de chute en fonction de la hauteur. Nous pouvons donc remarquer que le modèle physique prenant en compte les frottements (en gris) est très proche du modèle simple sans frottements (en orange). On constate néanmoins une différence qui s'accentue passer 26 m/s. Cela s'explique par le fait que plus la vitesse de chute augmente, plus l'effet des frottements se fait sentir. Cependant, pour les plages de vitesses utilisées ici, le modèle sans frottements aurait été suffisant. Mais si un jour, la modélisation est poussée à des vitesses plus élevées, le modèle avec frottements sera indispensable.
Enfin on peut également remarquer que les mesures de nos vitesses de chute se rapprochent bien des modèles, ce qui est plutôt rassurant. On peut néanmoins noter que les incertitudes sur les mesures étant assez énormes, il est difficile de savoir quel modèle théorique des vitesses correspond le mieux. Dans la suite des mesures et dans la présentation de nos résultats, nous utiliserons le modèle de vitesse avec les frottements afin d'avoir le moins d'incertitudes possible sur les estimations de vitesses d'impact.
Nous allons maintenant analyser et comparer la morphologie des cratères d'impact de notre expérience avec celle des cratères réels présents sur la Lune ou Mars, et tenter de définir s'il s'agit dans notre cas plutôt de cratères simples ou complexes. Ce sont les lancers des étages les plus hauts qui nous donnent les cratères les mieux formés. Nous allons donc décrire ici un cratère dérivant d'un lancer du 8ème étage (soit environ 31 mètres), vu du dessus et de côté (vidéo de ce lancer présentée ci-dessus).
Nous sommes ici face à un cratère en forme de bol avec des bords légèrement surélevés et sans pic central visible, ceci s'apparente plutôt à la morphologie d'un cratère simple comme le “meteor crater”. Néanmoins, on remarque la présence d'une dépression circulaire au centre du cratère (au niveau de l'impact de la bille avec le substrat) qui n'est caractéristique d'aucun des deux types de cratères présentés précédemment.
Une hypothèse très probable qui expliquerait la présence de ce “trou” est que nous sommes bien dans un cratère simple mais les conditions d'impact réelles n'étant pas réunies dans notre expérience, l'onde de choc induisant le rebond du substrat, lui-même à l'origine de la forme finale du cratère n'est pas assez puissante pour creuser entièrement ce dernier. On se retrouve donc avec une dépression centrale représentant le plancher du cratère et la partie claire dégagée autour du “trou” atteste de ce manque d'énergie car seuls les premiers millimètres du substrat coloré ont été creusés et éjectés.
De plus, il faut noter que la bille est toujours à l'intérieur du cratère contrairement au cas réel dans lequel l'impactant est généralement détruit au moment du contact avec le sol. Ceci peut donc également influer sur la morphologie du cratère et expliquer en partie le fait qu'il ne soit pas entièrement creusé. En effet, le rebond peut être “freiné” par le fait que la bille reste intacte au fond du cratère.
Passons maintenant à une description plus en détail des différentes structures visibles sur ce cratère d'impact.


Ce cratère d'impact comporte les structures suivantes:
1: Plancher: il s’agit du fond du cratère, situé plus bas que le sol environnant. Il est ici légèrement incurvé, comme un bol et ne présente pas de pic central caractéristique d'un cratère complexe.
2: Etage intermédiaire: il s'agit de la surface qui n'a pas été complétement creusée par l'onde de choc au moment de l'impact.
3: Murs ou levées: il s'agit des rebords intérieurs du cratère, ils sont ici plutôt verticaux et ne présentent pas de paliers visibles créés par l'effondrement des murs sous l'effet de la gravité ce qui consolide le fait que nous sommes face à un cratère simple.
4: Bord: il s'agit du rebord supérieur des murs du cratère. Il se situe à une altitude légèrement plus élevée que le substrat environnant, ceci traduit le fait que le sol a été poussé vers le haut lors de l'impact (rebond).
5: Ejecta: il s'agit de fragments du substrat (ici essentiellement les grains de semoule) éjectés du cratère par le rebond. On remarque que cette couche d'éjectas est plus épaisse à proximité du cratère et plus mince, jusqu'à inexistante en s'éloignant. Cette observation est également faite sur des cratères réels.
6: Trainées radiales: structures rayonnées composées de stries d'éjectas (plus clairs ici) qui s'étendent à partir du bord du cratère jusqu'à une certaine distance.
Lorsque l'on compare ce cratère d'impact (représentatif de tous les autres obtenus dans notre expérience) avec des cratères d'impacts réels comme le cratère de Copernic sur la Lune, on retrouve la majorité des structures caractéristiques. Néanmoins, de notre cas, nous avons en plus ce que l'on a appelé “l'étage intermédiaire” résultant du manque d'énergie à l'impact.
D'après toutes ces observations, on peut donc dire que les cratères obtenus dans notre expérience sont des cratères simples, présentant une énergie d'impact plus faible que celle des cratères complexes. Ceci est cohérent avec notre modèle car nos vitesses d'impacts restent, et cela même à l'échelle, assez faibles.
Maintenant que nous avons pu comparer la morphologie des cratères obtenus par notre modélisation analogique à ceux observables en réalité, nous allons pouvoir les mesurer afin d'essayer de repérer des lois liant les différentes caractéristiques du cratère avec la vitesse de l'impacteur.
Le tableau ci-dessous rassemble toutes les données que nous avons mesurées (comme représenté sur l'image juste à côté).
Nous allons maintenant essayer de trouver une loi simple entre la vitesse de l'impacteur (ou son énergie cinétique) et le diamètre du cratère. On obtient alors les graphiques suivants :
On constate que le diamètre des cratères semble évoluer de façon assez linéaire par rapport à la vitesse ou l'énergie cinétique de l'impacteur.
Nous allons donc comparer nos mesures au modèle théorique de Robert Marcus, H. Jay Melosh et Gareth Collins (Earth Impact Effects Program: A Web-based computer program for calculating the regional environmental consequences of a meteoroid impact on Earth).
Nous avons donc tracé les valeurs théoriques dudit modèle pour le diamètre du cratère (à distinguer du “trou”) selon la vitesse de l'impacteur à l'aide de la formule suivante (Dtc étant le diamètre du cratère) :
On remarque alors que nos mesures de diamètre sont plutôt cohérentes avec la formule théorique ci-dessus.
On constate d'ailleurs que cette fonction est relativement proportionnelle à la vitesse (~quantité de mouvement) de l'impacteur mais de manière plus complexe à l'énergie cinétique (relation polynomiale), ce qui contredit donc les courbes de tendance tracées sur le second graphique pour les diamètres mesurés, ou à défaut, nous indique que nous sommes sur une partie de la courbe proche de la tangente de ces relations au vu de la légère corrélation observable. Si l'équation utilisée est correcte, on pourrait donc supposer que le diamètre d'un cratère est proportionnel à la quantité de mouvement de l'impacteur et non directement à son énergie cinétique. Néanmoins, la faible quantité de valeurs et leurs très grandes incertitudes ne nous permettent pas de vérifier cette supposition.
On peut ensuite tracer ces mêmes graphiques pour voir si les mêmes relations existent entre la profondeur du cratère et la quantité de mouvement ou l'énergie cinétique. On obtient alors la figure suivante dans laquelle nous avons distingué la profondeur avec la bille (on mesure l'écart entre la surface et le haut de l'impacteur) et sans (on retire la bille avec un aimant et on mesure la profondeur du trou résultant) :
Ici nous n'avons pas représenté la profondeur selon un modèle théorique existant et nous nous contentons donc de nos valeurs mesurées. Nous avons là encore ajouté une courbe de tendance linéaire malgré les fortes incertitudes qui permettraient d'autres types d'approximations. Ici encore, il semble que la profondeur soit à la fois proportionnelle à la quantité de mouvement ET à l'énergie cinétique de l'impacteur, ce qui est physiquement strictement impossible (les deux relations ne pouvaient être linéaires puisque l'énergie cinétique dépend de la vitesse au carré). Il est alors très difficile de savoir quelle approximation et correcte, et là encore, une multiplication des mesures sera nécessaire pour approfondir ces liens. Nous noterons cependant que la profondeur est proportionnelle au diamètre (d'après la formule du modèle théorique établi précédemment, elle serait égale à 0.356*Dtc), on note approximativement cette légère proportionnalité avec la vitesse et l'énergie cinétique semblable à ce qui était observé pour le diamètre.
Enfin, nous avons décidé de nous intéresser au rapport entre la profondeur et le diamètre du cratère. Nous avons donc tracé deux graphiques de la profondeur (l'une avec la bille et l'autre sans) en fonction du diamètre du cratère (en orange) et du trou (en bleu).
Ici, nous avons représenté les données en échelle logarithmique. On constate assez rapidement dans les données avec la bille restant à l'intérieur du trou, que le point le plus petit ne semble pas en accord avec les autres points mesurés. On note également avec ce graphique que les données de la profondeur avec la bille ne semblent pas réellement corrélées avec le diamètre du cratère.
En revanche, si l'on s'intéresse au graphique de gauche où la profondeur est indiquée sans la bille, on constate qu'il semble y avoir une loi reliant le diamètre à la profondeur. Le peu de données ici présentes nous empêchent cependant de tracer une courbe de tendance.
Il faut néanmoins savoir qu'en théorie, la profondeur du cratère en fonction du diamètre forme une fonction logarithmique en base 10 (comme visible ci-après pour les cratères martiens dans “The surface of Mars” de Michael H. Carr). En ce qui nous concerne, cette répartition pourrait être devinable mais rien ne nous permet d'être catégoriques.
Nous avons, à travers nos multiples expériences, pu tracer les différentes caractéristiques de nos cratères en fonction de la vitesse de l'impacteur (ou bien de son énergie cinétique).
Bien que nos vitesses restent assez faibles, nous avons pu constater que nos mesures semblent, et cela en tenant compte de nos incertitudes, se corréler avec le modèle théorique de Robert Marcus, H. Jay Melosh et Gareth Collins de l'Imperial College de Londres. Quant au modèle de vitesse, il semble également correct par rapport aux mesures, bien que ces dernières sont évidemment plus imprécises.
Ces considérations sont effectuées par rapport au modèle du cratère simple bien que notre structure soit légèrement différente (cf. Description morphologique des cratères), et qu'il paraisse plus judicieux de parler de “cratère simple avorté”. Nous tenons également à rappeler que, bien que notre morphologie globale semble corrélée aux modèles, cette dernière diverge forcément quant aux conditions expérimentales par rapport à un réel astéroïde (vitesses, destruction partielle ou totale de l'impactant, masse volumique du substrat, température, métamorphisme et fusion locale à l'impact, mesures juste après impact).
On peut cependant noter quelques améliorations qui mériteraient d'être réalisées pour les années futures.
Il serait tout d'abord nécessaire de réaliser de nombreuses mesures pour augmenter le nombre de données de manière à avoir une réelle étude statistique qui permettrait sans doute de mieux se rapprocher du modèle théorique. De plus, notre vitesse étant encore assez faible par rapport aux possibilités morphologiques des cratères (cratères simples et cratères complexes), il serait intéressant de trouver un moyen d'augmenter considérablement cette dernière (à l'aide d'un quelconque propulseur mécanique minimisant également l'incertitude du temps de début de chute). Ainsi, cela pourrait tout d'abord permettre d'obtenir un cratère simple mieux formé, plus conforme aux descriptions faites en introduction mais aussi, peut être, sur une vitesse réellement élevée, d'observer une légère transition entre cratère simple et cratère complexe (à notre échelle). Enfin, on peut imaginer qu'avec une vitesse plus importante, la distinction entre le lien diamètre-vitesse et diamètre-énergie cinétique serait plus visible permettant de réellement faire apparaitre une loi empirique.
Concernant les conditions expérimentales, on peut imaginer qu'une variation du substrat peut être intéressante induisant différentes structures de déformation, particulièrement sur un substrat hydraté (bien que les mesures de masses volumiques deviennent alors complexes). Nous avions aussi eut l'idée de réaliser plusieurs couches de couleur dans le substrat afin de mieux localiser la déformation mais cela impliquerait de changer le substrat à chaque tir ce qui semble assez compliqué.
Enfin, concernant le mode de mesure expérimentale de la vitesse, il serait sans doute plus judicieux d'investir dans une sorte de radar permettant d'avoir une valeur moins incertaine.
Enfin, concernant le dimensionnement de notre modèle, nous n'avons pas pu calculer de vrais facteurs d'échelle (ce qui pourra être fait par la suite) mais nos mesures semblent tout de même corrélées au modèle théorique de Robert MARCUS et ses collègues de l'Imperial College de Londres.
Nous tenons à remercier l'équipe enseignante, Loïc Labrousse (directeur adjoint de l’Institut des Sciences de la Terre de Paris, ISTeP) pour ses conseils avisés nous permettant d'orienter notre projet ainsi que Pierre Thery (responsable de la plateforme expérimentale de la licence Géosciences) concernant sa gestion du Fablab, sa disponibilité et son enthousiasme par rapport à notre projet.
Morphologie des cratères:
~ www.nirgal.net
~ fr.wikipedia.org/wiki/Crat%C3%A8re_d%27impact
~ https://parlonssciences.ca/ressources-pedagogiques/documents-dinformation/les-crateres-dimpact
~ “The surface of mars”, Michael H. CARR
Calculs théoriques:
~ “Aerodyne”, Matthieu BARREAU
~ “Earth Impact Effects Program”, Gareth S. COLLINS, H. Jay MELOSH and Robert A. MARCUS
Présentation de l'UE et du fablab.
Répartition des groupes.
Premières idées, notre travail va consister à étudier les cratères d'impacts de billes lancées (représentant des météorites) de plusieurs étages dans un substrat (modèle analogique de la croûte terrestre).
Idée de faire varier le substrat de réception + mettre des fines couches de sable coloré au-dessus pour visualiser le cratère d'impact, le décrire et le comparer avec des vrais cratères sur la Lune, la Terre et Mars.
Nous avons réalisé des mesures sur les billes que nous allons utiliser.
On utilisera la grosse bille en acier au chrome pour notre projet (30 mm de diamètre, 110,2 g).
Test de lancer dans une tour de Jussieu à 7 étages avec une bassine de 42,5cm de diamètre et de 22cm de profondeur (nous prendrons un plus gros bac par la suite pour bien visualiser notre cratère).
Mesures de hauteurs des différents étages au décamètre (on prendra une incertitude de 20 cm)
Lancers de chaque étages, on filme au ralentit (240 images par secondes) au niveau de la bassine pour ensuite estimer les vitesses d'impacts de la bille grâce au logiciel “Kinovea”.
Nous avons également calculé les vitesses théoriques d'impact avec la formule v= sqrt(2gh) en prenant g=9,81 m/s²
On remarque en comparant les vitesses mesurées et les vitesses théoriques que l'on ne peut pas négliger les frottements de l'air.
Etant donné qu'on ne peut pas négliger les frottements de l'air nous avons recherché un modèle d'approximation mathématique des frottements de l'air pour avoir une idée de la vitesse d'impact de la bille.
Réflexion par rapport à la construction d'un bac de réception.
Test de lancer dans de la farine pure —> pas concluant (forme un tunnel vertical, pas de cratère)
Construction du bac de réception sur pieds roulants.
Bac à base d'une palette en bois à laquelle sont ajoutées des planches en bois pour faire les rebords, 4 chevrons d'environ 80 cm pour faire les pieds ainsi que 4 roulettes récupérées sur un meuble.
Suite de la construction du bac.
Mesures des masses volumiques des différents matériaux du mélange.
Tests de différents mélanges pour le substrat de réception mais pas encore très concluant.
Fin de la construction du bac.
Tests de mélanges, on a trouvé celui que nous allons utiliser par la suite pour le substrat de réception à savoir 1/3 sable (grains 0,1 - 0,5 mm), 1/3 semoule (moyens grains), 1/3 farine.
Travail sur la caractérisation de la vitesse d'impact (physique du mouvement).
Postulat initial (3 forces) pour représentation du mouvement physique:
- Poids
- Trainée (force de frottements)
- Poussé d'Archimède (dans l'air)
On réalise deux modèles, l'un avec la poussée d'Archimède et l'un sans de manière à pouvoir les comparer et estimer si oui ou non cette force est négligeable.
Application du principe fondamentale de la dynamique pour déterminer une fonction de vitesse en fonction du temps.
On compare ensuite nos valeurs théoriques avec frottements à celle sans frottements et celle théorique déduites par conservation de l'énergie.
Début de calcul des incertitudes.
Confirmation du mélange 1/3 sable, 1/3 semoule, 1/3 farine avec d'autres lancers.
Commandes en sable, semoule et farine passées.
Idée supplémentaire: faire une coupe verticale du cratère avec un morceau de plexiglas afin de voir les déformations engendrées par l'impact. Mais après réflexion, cela ne sera pas faisable, il faudrait plusieurs couches de différentes couleurs les unes sur les autres pour quantifier la déformation ce qui ne sera pas possible à mettre en place car cela impliquerait de refaire un substrat après chaque lancers.
Observation des cratères (dans une bassine car nous n'avons pas encore reçu tout les ingrédients pour réaliser notre substrat dans le grand bac de réception).
- Vidéo de l'impact puis photos du cratère dans différents angles pour potentiellement faire de l'imagerie par la suite.
- Ajout de grains de quartz dans la fines couche rose pour mieux suivre l'éjectât.
Mesures de temps de chute au chronomètre.
Vidéo en 240 images par seconde pour ensuite déterminer à nouveau les vitesses d'impact.
Mesures des hauteurs de lancers avec un télémètre laser
Nous avons reçu les commandes en sable farine et semoule.
Mise en place du mélange dans le bac.
Lancers dans le substrat depuis les différents étages et mesures des cratères d'impacts + photos de différents angles que nous allons interpréter par la suite.
Travail sur le wiki.