Outils pour utilisateurs

Outils du site


wiki:projet:rapport_ici

Premières versions du rapport

INTRODUCTION

Ce samedi 11 mars, soit six ans après le tsunami survenue sur les côtes nord-est du Japon, le pays se recueille en mémoire des 18 446 personnes disparues. Cette catastrophe fut très meurtrière mais elle n'est malheureusement pas isolé. L'archipel japonais a en réalité très souvent été confronté aux tsunamis. Son origine étymologique vient ainsi du japonais, tsu-nami signifiant littéralement vague portuaire. Dans le cadre de notre projet en autonomie, nous avons donc exploré sa formation, son mécanisme physique, ses répercutions et sa détection.

Les Tsunamis livrent leurs secrets

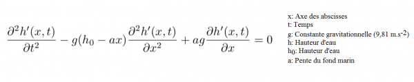
  • *I/ A la découverte de l'origine des Tsunamis - Le déclenchement de l'un des phénomènes naturels les plus destructeurs - Les caractéristiques des tsunamis - Les séismes ne sont pas les seuls coupables II/ Description physique des Tsunamis - Etude théorique: * Euler Navier-Stokes ⇒ Vitesse de la vague (deux approximations):eaux profondes/eaux peu profondes * Equation KdV - Modélisation * présentation de l'expérience * résultats (graphes vitesses selon les deux approximations) - Comparaison théorie et modalisation + conclusion II/ Les répercussions matérielles et humaines - dégâts - détection, comment s'en protéger? </WRAP> I/ À la découverte de l'origine des tsunamis a/ Le déclenchement d'un des phénomènes naturels les plus destructeurs INTRODUTION La structure interne de la Terre correspond à une succession de couches aux propriétés physiques et chimiques bien particulières. Le manteau supérieur est ainsi divisible en deux couches, l'une plastique, l'asthénosphère et l'autre solide, la lithosphère. On dénombre huit plaques lithosphériques majeures. Avec une vitesse de l'ordre de quelques centimètres par an la lithosphère océanique formée à la dorsale s'éloigne lentement et se refroidit par conduction. Suite au refroidissement et aux dépôts sédimentaires, le manteau lithosphérique se densifie. Ainsi, lorsque deux plaques tectoniques convergentes se rencontrent la friction exercée est si intense que la compression entraîne le glissement d'une plaques sous l'autre. Ces dernières peuvent être océaniques (la plaque la plus vieille s'enfonce sous l'autre) ou bien océanique et continentale (la plaque océanique, plus dense et plus fine plonge sous la plaque continentale). Au niveau de ces zones de subduction, les contraintes s'accumulent jusqu'à ce qu'elles se relâchent d'un coup, c'est la rupture sismique. Un séisme tsunamigénique apparaît donc uniquement lorsque le foyer et la surface de rupture de la faille se trouvent sous l'océan ou proche de la côte. Ensuite, le planché océanique se soulève brusquement entraînant la libération d'une grande quantité d'énergie et de mouvement. Puis, une haute colonne d'eau se forme au dessus du niveau de la mer. Cependant, la gravité la sépare en deux ondes de gravité interne, se propageant à toute vitesse vers les côtes. Un tsunami destructeur est déclenché. À la différence des ondes océaniques externes (ex: La houle) qui perturbent la région proche de la surface de l'eau, les ondes gravitationnelles internes sont capable de transporter de l'énergie et de la quantité de mouvement jusqu'au fond de la mer. —- b/ Les caractéristiques des tsunamis Ces séries d'ondes transverses se propagent au sein de fluides stratifiés et peuvent atteindre des hauteurs colossales. Pourtant, en plein océan en raison de leur longueur d'onde relativement élevé (entre 400 et 600 km) elles sont à peine perceptible et ne dépassent pas le mètre. En réalité, la hauteur d'une vague tout comme sa vitesse est liée à la profondeur marine. Le Japon, par sa proximité avec plusieurs points triples a toujours été très sujet aux tsunamis. Néanmoins, les archives de Samurai, évoquent un mystérieux tsunami survenu en l'an 1700. À l'époque, cet événement à longuement intrigué les chercheurs japonais car aucun signe annonciateur n'avait été perçu par les habitants de la côte Est, les empêchant de se réfugier sur les hauteurs. Ce n'est qu'au XXI ème siècle, qu'un trio nippo-américano-canadien leva le voile sur son origine. Un gigantesque séisme de magnitude 9 sur l'échelle de Richter survenue le 26 janvier sur la côte Pacifique des États-Unis. La rupture de la faille dans la zone de subduction de Cascadia s'étendait sur environ 1100 km générant une série d'ondes traversant tout l'océan Pacifique. La quantité d'énergie déployée était telle que les vagues se propageaient à des vitesses de l'ordre de 800 km.h-1 en pleine mer. Ainsi, les tsunamis peuvent être jusqu'à dix fois plus rapide que les ondes de surfaces et présenter des fréquences crêtes à crêtes très élevés (période pouvant égaler les 60s). En raison des grandes distances pouvant être parcourues par ces ondes, tel que ce fut le cas pour notre tsunamis orphelin, une faible portion d'énergie se dissipe (ex: frottements avec l'air). Cependant, d'après le principe de la conservation de l'énergie, E=Ec+Ep, cette énergie n'est pas perdue mais convertie. C'est pourquoi, à l'approche du rivage ces ondes rapides de faible amplitude décélèrent et s'élèvent à des dizaines de mètres. En fait, la diminution de la profondeur marine freine brutalement les tsunamis. L'énergie se concentre donc dans le sens vertical (augmentation de la hauteur d'eau) et horizontal (raccourcissement de la longueur d'onde). L'effet de fond, convertit donc progressivement l'énergie cinétique en énergie potentielle. Par ailleurs, bien que la vague passe de 800 à 500 puis à 200 km.h-1 à l'avant, à l'arrière la vague continue d'avancer toujours aussi vite ce qui cause un effet d'accumulation , d'où la force colossale des tsunamis. L'équation de Navier-Stokes relie ainsi l'amplitude de la vague h à la pente du fond marin. Ensuite, il est important de prendre en considération la topographie sous-marine. En effet, un fond marin pentu engendre une simple inondation. Alors qu'une pente faible, laisse suffisamment de temps pour les vagues de se cambrer et de ce fait, de prendre de la hauteur. Lors d'un séisme, les scientifiques mesurent la quantité d'énergie libérée au foyer grâce à des sismographes qui enregistrent les vibrations du sol. Par conséquent, on peut connaître la localisation de l'épicentre du séisme, la profondeur du foyer et la magnitude sur l’échelle de Richter. Cette échelle suis une fonction logarithmique. De ce fait, un séisme de magnitude 6 est 30 fois plus puissant qu'un séisme de magnitude 5. Par ailleurs, sachez que l'échelle de Richter était à son origine graduée de 1 à 9. Alors qu'à présent, celle ci ne présente pas de limite de magnitudes. On l'appelle l'échelle ouverte de Richter. La puissance d'un tsunami est relié à celle de la rupture sismique. C'est pourquoi, on peut comparer la magnitude d'un tsunami à celle d'un séisme. Cependant, la formule donnant accès à l'amplitude d'un séisme ne prend pas en compte l'extension spatiale des tsunamis. Il est donc plus commode de faire appel aux échelles d'intensité et d'amplitude des tsunamis. —- Il existe plusieurs échelles d'intensité comparable notamment celle de Soloveiv, d'Ambraseys et de Sieberg (pas de standardisation au niveau international). Ces échelles discrètes caractérisent la force des vagues et les dégâts occasionnés. Ensuite, parmi les échelles de magnitudes, celle d'Imamura et Iida est la plus couramment utilisée. On retrouve l'amplitude par le biais de cette expression : m = log Hmax/  log(2) avec Hmax la hauteur maximale du tsunami près de la côte. —- c/ Les séismes ne sont pas les seuls coupables**

Chaque année, près d'un million de séismes sont répertoriés dans le monde. Pourtant, seul un dixième d'entre eux ont une magnitude suffisante pour être ressentis (100000 de magnitude supérieur à 3). Fort heureusement, tous les tremblements de terre ne causent pas de tsunamis. Ils sont en réalité très rare. Ainsi, bien que les ruptures sismiques reste les principales causes directes, il n'en est pas moins, que d'autre chocs telluriques peuvent être tout aussi dévastateurs, voir plus.

Le plus important Méga Tsunamis jamais enregistré au monde fut causé par un effondrement de terrain dans la baie de Lituya en Alaska en 1958. Son origine, un tremblement de terre de magnitude 8,3 sur l'échelle de Richter qui précipita près de trois millions de mètres carrée de roche. Ce run-up fut d'une hauteur monstrueuse de 523 mètre. Dans ce cas ci, un séisme est intervenue de manière indirect. Néanmoins, les éruptions volcaniques sous marines ou encore les chutes de météorites qui ne présentent aucun lien avec une secousse sismique peuvent également entraîner un tsunami.

Pour finir, au regard de l'opération Crossroads au cours de laquelle une série d'essais nucléaires ont été effectué dans l'atoll de Bikini nous sommes en mesure d'ajouter à notre liste le facteur anthropique.

Sur ce lien vous pourrez voir en image l'opération Crossroads mené par les Etats-Unis en 1946 :

https://www.youtube.com/watch?v=FAmQizO0tGM

Partie 2:

latexp2.pdf

wiki/projet/rapport_ici.txt · Dernière modification: 2020/10/05 14:39 (modification externe)