OBJECTIFS :
Nous voulons ainsi, concevoir et monter un moteur de Stirling dans un premier temps et ensuite étudier expérimentalement la transformation de l'énergie mécanique en énergie thermique.
Ce projet nous permet, outre le fait de produire une étude sur un moteur thermique, d'acquérir des compétences théoriques et expérimentales:
* Analyser la théorie de la transformation d'énergie thermique en énergie cinétique dans un moteur Stirling
* Maîtriser les principes de la thermodynamique dite “classique”
* Conception et dimensionnement
* Montage mécanique
* Utiliser une imprimante 3D
* Rédiger en LaTeX de manière rigoureuse
=====I.Partie théorique : =====
Une machine thermique est un dispositif permettant d’agir sur un gaz qui décrit un cycle. La machine thermique la plus simple fonctionne entre deux réservoirs de chaleur à des températures différentes. Pendant un cycle, le système subit une suite de transformations qui le ramènent à son état initial.
Le moteur Stirling est une machine thermique à énergie externe. L'énergie est fournie par deux sources de température externes (une chaude et une froide) et convertie en énergie mécanique par l'intermédiaire d'un fluide caloporteur subissant un cycle thermodynamique fermé. Aucune combustion n'a lieu à l'intérieur du moteur et le fluide demeure confiné dans le moteur. Dans notre cas la “source chaude” est le soleil et la source froide la température le milieu extérieur (qui est température ambiante).C'est la différence de température entre le haut et le bas du moteur qui va nous intéresser.
Notre fluide caloporteur (ou gaz) va être l'air, c'est notamment pour cela que ce moteur est aussi appelé “moteur à air chaud”
L'énergie est récoltée à l'extérieur du cylindre.
Principales notations :
cv , cp, c Chaleur spécifique, J.kg−1.K−1
P Pression, Pa
R Constante massique des gaz parfaits, J.kg−1.K−1
T Température, K
V Volume, m3
S Surface m²
ω Vitesse angulaire, rad.s−1
Q quantité de chaleur, J
W travail, J
U énergie interne du gaz, J
ρ masse volumique kg.m^-3
====1. Les quatre phases élémentaires :====
Le cycle thermodynamique du moteur Stirling est dans son principe très simple : il comprend 4 phases pendant lesquelles le gaz utilisé subit les transformations suivantes :
1.1. un chauffage isochore (à volume constant) :
Le brûleur (la source chaude) cède de l'énergie thermique. On s'imagine aisément que la pression et la température du gaz augmentent durant cette phase.
1.2. une détente isotherme (à température constante):
Le volume s'accroît alors que la pression diminue. C'est pendant cette transformation que l'énergie motrice est produite.
1.3. un refroidissement isochore :
L'eau projetée (la source froide) récupère de l'énergie thermique. La température et la pression diminuent pendant cette phase.
1.4. une compression isothermique :
La pression du gaz augmente au fur et à mesure que son volume diminue. On doit fournir de l'énergie mécanique au gaz pendant cette période.
====2. Le diagramme (P,V) :====
Le principe de fonctionnement, exposé ci-dessus, peut se représenter sur un schéma appelé “diagramme Pression-Volume” ou diagramme (P,V).
Hypothèses: on suppose que le gaz utilisé dans le moteur peut-être assimilé à un gaz parfait et que la transformation est quasi statique et réversible, on a donc P=Pext à tout instant. A tout instant t, on a F=P*S. Le travail dW de la force F exercée par le gaz durant le déplacement dr du piston est :
dW = F.dx = pS.dx = pdV ,où dV = Sdx est le changement de volume du gaz.
L'aire colorée comprise entre les quatre segments décrivant le cycle est représentative du travail recueilli au cours d'un cycle.
Le travail est positif sous la courbe de détente car dV>0. Le travail est négatif sous la courbe de compression car dV<0.
Le travail résultant au cours d'un cycle est donc représenté par la surface sous la courbe de détente diminuée de la surface sous la courbe de compression. C'est donc la surface comprise entre les courbes
Diagramme indicateur d'un moteur STIRLING théorique
On observe les quatre phases détaillées plus haut, en n'oubliant pas que détente et compression se font à températures constantes (Tmax et Tmin).

(Diagramme réel que nous avons tracé lors du TP stirling)
Le diagramme réel sera très sensiblement différent du diagramme théorique présenté précédemment. Il a une forme plus arrondie que ce dernier.
Ceci est dû essentiellement aux mouvements continus des pistons, aux grandes hétérogénéités de température dans le moteur et aux pertes mécaniques et thermiques. On remarque que l'aire du diagramme indicateur réel est plus petite que celle du diagramme indicateur théorique. Cette diminution a pour conséquence de réduire la puissance fournie par le moteur
====3.Rendement du moteur :====
On considère ce qui se passe durant un cycle. Pour ce calcul, il faut se
placer du point de vue du gaz de travail : nous considérerons le travail algébrique W reçu par
le gaz (qui doit être négatif, puisque le gaz fournit du travail) et la chaleur algébrique Q reçue
par le gaz. Dans ces conditions, le travail récupéré par l'utilisateur s'identifie à -W.
Wréc= W23 + W41
C'est le travail fourni par la moteur, on récupère le travail de la détente et de la compression.
Qtot= Q12 + Q34
En utilisant le premier principe de la thermodynamique c'est à dire la loi de conservation de l’énergie appliquée aux phénomènes thermiques dU=δW+δQ et en supposant que le gaz est parfait, la transformation réversible et quasistatique on calcul le rendement:
Ce travail Wnet est égal à la somme du travail récupéré au cours de la détente (travail positif) et du travail qu'il est nécessaire de fournir au cours de la compression du gaz (travail négatif) :
Wnet = Wdet + Wcomp
Wnet = ∫det PdV + ∫comp PdV
avec P = nRT / V
ce qui donne :
Wnet = ∫det (nRTmax / V) dV + ∫comp (nRTmin / V) dV
Wnet = nR (Tmax - Tmin) ln Vmax / Vmin
Quantité de chaleur net récupérée :
Qdet = ∫det PdV
Qdet = nR Tmax ln Vmax / Vmin
Au cours du chauffage isochore, il a fallu fournir l'énergie suivante :
Qchauf = nCv (Tmax - Tmin)
où Cv est la chaleur molaire du gaz considéré pour un chauffage, à volume constant, d'une température Tmin à une température Tmax.
La quantité totale d'énergie calorifique fournie est donc de :
Qtotale = nCv (Tmax - Tmin) + nR Tmax ln Vmax / Vmin
Rendement d'un cycle de Stirling :
η= Wnet/Qtotale
η = [R (Tmax - Tmin) ln Vmax / Vmin] / [Cv (Tmax - Tmin) + R Tmax ln Vmax / Vmin]
Si on suppose que l'énergie nécessaire au réchauffage isochore est entièrement récupérée au cours du refroidissement isochore, c'est le rôle du régénérateur alors l'efficacité du moteur Stirling sera égale au rendement d'une machine de Carnot.
Dans l'équation définissant le rendement η, le terme correspondant à l'énergie utile au chauffage isochore Cv (Tmax - Tmin) disparaît.
L'expression du rendement du moteur devient :
η = [R (Tmax - Tmin) ln Vmax / Vmin] / R Tmax ln Vmax / Vmin
ou, après simplification :
η = (Tmax - Tmin) / Tmax
ou encore :
η = 1 - Tmin / Tmax = ηCarnot
C'est le rendement d'un moteur Stirling avec un régénérateur parfait
Avec Tmin = Température de la source froide = Tfr
Tmax = Température de la source chaude = Tch
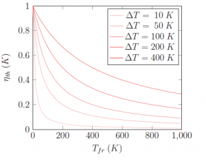
Rapide analyse du Rendement d'un moteur Stirling avec un régénérateur parfait
Evolution du rendement en fonction de Tfr et Tch

Evolution du rendement en fonction de Tfr avec Delta T = Tch − Tfr constant.
On observe que le rendement est proche de 1 si la source froide est proche du zéro absolu.
Pour atteindre un rendement donné il n’est pas indispensable d’atteindre un différentiel minimal,
il suffit d’avoir une source froide suffisamment froide. Dit autrement, pour un deltaT fixé, plus la source froide sera froide, plus le rendement sera élevé.
====4. Le rôle du déplaceur :====
La réalisation d'un moteur tel que celui décrit ci-dessus poserait des difficultés : allumer le brûleur, l'éteindre, asperger puis arrêter le refroidissement, chocs thermiques successifs….
C'est pourquoi on va introduire un artifice apportant des solutions à ces problèmes : le déplaceur. Ce dernier ne modifie ni la pression ni le volume du gaz, mais l'oblige à se situer soit vers la source chaude située en partie supérieure, soit vers la source froide située en partie inférieure.
====5. Le régénérateur :====
Le régénérateur est placé sur le trajet que le gaz suit en allant et en revenant entre les parties chaude et froide du moteur. Lorsque le gaz quitte l'extrémité chaude du moteur il traverse le régénérateur et transfère sa chaleur progressivement vers le régénérateur, sa température diminue. Le régénérateur permet de faciliter grandement ce “refroidissement”.
Lorsque le gaz quitte l'extrémité froide et traverse dans le régénérateur, le régénérateur a une température plus élevé que le gaz et donc la température du gaz augmente et la température du régénérateur diminue. Au moment ou le gaz quitte le régénérateur et pénètre dans la partie chaude du moteur, il aura donc été préchauffé. Comme pour la phase de refroidissement le régénérateur permet d'optimiser la phase de chauffage.
En fait le régénérateur est un type particulier d'échangeur de chaleur . Le but de ce composant est de stocker la chaleur à un moment donné et de la rendre à un autre . Cela signifie que le même espace va être occupé à la fois par un fluide devant recevoir de la chaleur et par un autre devant en céder, mais jamais en même temps .
Donc dans un premier temps le gaz, dit chaud, cède sa chaleur aux parois ou aux grillages solides distribués dans l'espace du régénérateur tandis que dans un deuxième temps le gaz, dit froid, récupère cette énergie calorifique en occupant lui-même cet espace.
Le cycle se répète continuellement donc plus efficacement le régénérateur stocke et transfère la chaleur du gaz, moins de puissance doit être fournit à chaque source de chaleur (froide et chaude) pour permettre au gaz de changer de température.
Si on disposait d'un régénérateur parfaitement isoler (adiabatique) qu'il n'y est aucune perte de chaleur avec l’environnement extérieur excepté avec le gaz, on aurait un moteur thermodynamiquement proche de la limite de Carnot (rendement maximal théorique pour moteur thermique) et on aurait donc comme rendement : η=1-(Tmin/Tmax)
Mais il faut prendre les pertes par frottement, et le fait que notre moteur et la partie dans laquelle se déplace le gaz ne sont pas parfaitement calorifugés il y a des pertes de chaleurs et donc nous aurons un rendement inférieur au rendement de Carnot.
En pratique, un régénérateur sera constitué d'un réseau de grilles au travers duquel circule le gaz.
On peut donc voir cet élément comme un matériau poreux possédant certaines propriétés calorifiques.
Nous allons donc étudier le rendement du moteur en fonction du matériau que nous utiliserons comme régénérateur.
On peut donc étudier les échanges thermique entre un matériau et un gaz donné. Pour obtenir une éponge thermique qui stocke la chaleur et la rend cycliquement, de façon très rapide, dans un volume minimum et avec une surface de transfert maximale.Voici certaines des conditions à avoir pour avoir une régénérateur efficace :
-avoir un matériau avec un très bonne conductivité thermique,
- une surface de transfert maximale
- un volume de stockage de chaleur optimale
Un indice de performance est une combinaison de propriétés qui caractérise la performance d'un matériau pour une application donnée.
On cherche donc à évaluer la quantité de chaleur stockée dans le régénérateur en un temps donné (qui dans notre cas sera très petit).
On assimile pour cela un élément du régénérateur à un bloc plein à longueur semi-infini à section constante .
On considère, comme condition initiale que le bloc a une température constante T0. Au temps initial, on applique sur la surface d'une des extrémités, une température T1.
Pour déterminer la quantité de chaleur stockée par le matériau au bout d'un temps donné t, on passe par l'équation de distribution de température.
Cette méthode vise, après avoir déterminé la distribution des températures au sein du matériau suivant l'axe x (direction orthogonale à la surface d'échange), à sommer ces températures pour obtenir la quantité de chaleur accumulée au bout d'un temps t.
La température d'un volume contenant une substance augmente lorsqu'une quantité de chaleur y pénètre. Cette augmentation de température est bien sûr proportionnelle à la quantité de chaleur reçue et inversement proportionnelle au volume, à la densité de la substance qui s'y trouve et à sa chaleur spécifique.
On se base sur l'équation suivante de distribution de température :
Ayant ainsi obtenu la distribution de température en fonction de x à un temps donné, il ne reste plus qu'à l'intégrer suivant x pour obtenir la quantité de chaleur stockée.

C'est-à-dire que la quantité de chaleur Q (en Joules) qui a pénétré dans le petit volume Sdx (en m³), y a provoqué une augmentation de température ΔT (en degré K).
Les paramètres Ro et Cp sont respectivement la densité de la substance (en kg/m³) et sa chaleur spécifique (en Joules/kg/degré K). Ce dernier exprime la quantité de chaleur qu'il faut pour élever d'un degré la température d'un kg de la substance.
Pour les gaz qui sont compressibles, cette quantité est différente selon que l'opération se fait à volume ou à pression constante. Nous avons utilisé ci-dessous les valeurs correspondant au volume constant.
====6. Propagation de la chaleur dans le gaz :====
On va travailler en une seule dimension de l’espace. Cela suffit à décrire ce qui se passe dans un fil ou dans un tube long et fin rempli de gaz. On indiquera par T(x,t) que la température T est une fonction de la position x dans le tube et du temps t de l’observation.
Nous ferons encore l’hypothèse simplificatrice que la conductivité thermique et la chaleur spécifique des matériaux sont des constantes.
δ Q = - k.S.(δ T(x,t)/δ x).δ t
c.-à-d. que la quantité de chaleur δ Q (en joule) s’écoulant pendant un court laps de temps δ t (en sec) à travers une surface S (en m²), est proportionnelle à la chute de température δ T (en degrés Kelvin) constatée à l’endroit x au moment t, sur une courte distance δ x (en m) prise dans le sens de l’écoulement.
Le rapport δ T(x,t)/δ x n’est autre que la dérivée partielle première de T par rapport à x, c.-à-d. sa pente. Le coefficient de proportionnalité k est la conductivité thermique de la substance (c.-à-d. sa capacité de conduire la chaleur) et le signe moins indique que l’écoulement se fait dans le sens de la chute de température.
Si on considère un petit volume de tube ou de fil, de section S et d’épaisseur Δ x, la quantité nette de chaleur qui y pénètre est égale à celle qui y entre à l’endroit x, moins celle qui en sort à (x + Δ x). On peut écrire en tenant compte des signes :
δQ = k.S.{δT(x+ Δx,t)/δx -δT(x,t)/δx}.δt
La seconde constatation expérimentale peut s’écrire de la façon suivante :
δQ = ρ.c.δT.S.Δx
c.-à-d. que la quantité de chaleur δ Q (en joule) qui a pénétré dans le petit volume S.Δ x (en m³), y a provoqué une augmentation de température δ T (en degrés K). Les coefficients de proportionnalité ρ et c sont respectivement la densité de la substance (en kg/m³) et sa chaleur spécifique (en joule/kg/degré K). Cette dernière exprime la quantité de chaleur qu’il faut pour élever d’un degré la température d’un kg de la substance. Pour les gaz qui sont compressibles, cette quantité est différente selon que l’opération se fait à volume ou à pression constante. Nous avons utilisé ci-dessous les valeurs correspondant au volume constant.
Enfin, le troisième fait physique, celui de la continuité, s’écrit en égalant les termes δ Q des équations.
ρ.c.δT.S.Δ x = k.S.{δT(x+Δx,t)/δx - δT(x,t)/δx}.δt
En réarrangeant cette équation en la divisant par δt, par (ρ.c), par S et par Δx, on obtient :
δT/δt = (k/(ρ.c)).{δT(x+Δx,t)/δx - δT(x,t)/δx}/Δx
Cette équation dit que la variation de température δT (en degrés) pendant le court laps de temps δ t (en secondes) c.-à-d. la vitesse avec laquelle la température varie est proportionnelle à la variation de la pente de la température (δT/δx) sur la distance Δx. Le coefficient de proportionnalité est k/(ρ .c) Si on fait tendre Δx vers zéro, l’expression{δT(x+Δx,t)/δx -δ T(x,t)/δ x}/Δx devient la dérivée partielle seconde de T par rapport à x qui s’écrit δ²T/δx². L’équation devient finalement
δT/δt = (k/(ρ.c)).(δ²T/δx²) qui est l’équation différentielle partielle de la chaleur
Cette équation permet de calculer le profil de température en fonction du temps, dans un tube isolé,rempli de gaz et terminé aux deux bouts par une source chaude et une source.
L’équation montre que la vitesse δT/δt avec laquelle la température varie en un point, est proportionnelle à la “ constante ” k/(ρ .c) du gaz utilisé. Et c’est là que l’hydrogène et l’hélium montrent une supériorité par rapport à l’air ou l’azote. Dans ce qui suit, k s’exprime en watt/mètre/degré K, ρ en kg/m³ et c en joule/kg/degré K.
Pour l’air : k/(ρ .c) = 0,025 / (1,29 x 718) = 0,000027 m²/sec).
Pour l’hélium : k/(ρ .c) = 0,14 / (0,164 x 3116) = 0,00027 m²/sec (10 fois plus que l’air).
Pour l’hydrogène : k/(ρ .c) = 0,18 / (0,083 x 10183) = 0,00021 m²/sec (8 fois plus que l’air).
Pour l’azote : k/(ρ .c) = 0,026 / (1,15 x 743) = 0,00003 m²/sec (quasi comme l’air).
A titre de comparaison avec un métal :
Pour le cuivre : k/(ρ .c) = 401/(8900 x 386) = 0,00012 m²/sec (4,4 fois plus que l’air).
Pour l’acier : k/(ρ .c) = 80,2/(7840 x 450) = 0,0000227 m²/sec (un peu moins que l’air).
Plus vite la chaleur diffuse dans le gaz, plus vite on pourra faire tourner le moteur et gagner en puissance et/ou en rendement. Dans un moteur, la totalité du gaz à réchauffer ou à refroidir doit être en contact très intime avec les échangeurs.
Il est encore important de retenir que si on utilise de l’air ou de l’azote par exemple et que si le moteur ne tourne pas trop vite et que si les échangeurs sont efficaces, de telle sorte que le gaz a le temps de s’échauffer et de se refroidir dans toute sa masse durant le cycle, il est tout à fait inutile de passer à l’hélium ou à l’hydrogène si toutes les autres conditions restent les mêmes par ailleurs.
====7.Cinématique manivelle-bielle :====
Etude de la cinématique d’un système manivelle-bielle. La manivelle est dite réceptrice, elle est entraînée par le système c'est à dire qu'elle reçoit l'énergie du système. Elle est animée d'un mouvement de rotation continue, alors que le piston est animé d'un mouvement linéaire alternatif et rectiligne.

le rayon de la manivelle r= OA
la longueur de la bielle l= AB
la distance x= OB entre le point O et la droite de déplacement du point B,
l'angle de rotation est θ
Le rapport bielle/rayon manivelle λ = l/r
x ′ = d x /d θ = r cos(θ) - cos(θ)sin(θ) l 2 − r 2 cos 2 θ = r ( cos θ + s i n θ cos θ γ 2 − cos 2 θ ) {\displaystyle {
Relations géométriques :
Nous pouvons écrire les relations géométriques :
(1) OH=r.sin(θ)) (2) HA=r.cos(θ) (3)HB=OB-OH=x-r.sin(θ)
Le théorème de Pythagore donne : AB²= HB²+HA² soit (4) HB = (AB²-HA²)^1/2
L'axe du piston est concourant avec l'axe de manivelle donc :
x-r.sin(θ) = (l²-r²cos²(θ))^(1/2) alors x = r(sin(θ)+(λ²-cos²(θ))^1/2)
l et r sont des constantes, on à donc la distance x en fonction de θ.
La distance x représente la distance parcouru par le piston.
La vitesse x' en fonction de θ est :
\begin{array}{lcl}x'&=&{\frac {dx}{d\theta }}\\&=&r\cos \theta +{\frac frac_1_2\cdot (-2)\cdot r^{2}\cos \theta \cdot (-\sin \theta )}{\sqrt {l^{2}-r^{2}\cos ^{2}\theta }}}\\&=&r(\cos \theta +{\frac {sin\theta \cos \theta }{\sqrt {\lambda ^{2}-\cos ^{2}\theta }}})\end{array}
L'accélération x en fonction de θ est:
\begin{array}{lcl}x''&=&{\frac {d^{2}x}{d\theta ^{2}}}\\&=&r(-\sin \theta +{\frac {\cos ^{2}\theta -\sin ^{2}\theta }{\sqrt {\lambda ^{2}-\cos ^{2}\theta }}}-{\frac {\sin \theta \cos \theta \cdot {\frac {1}{2}}\cdot (-2)\cdot \cos \theta \cdot (-\sin \theta )}{\left({\sqrt {\lambda ^{2}-\cos ^{2}\theta }}\right)^{3}}})\\&=&r(-\sin \theta +{\frac {\cos ^{2}\theta -\sin ^{2}\theta }{\sqrt {\lambda ^{2}-\cos ^{2}\theta }}}-{\frac {\sin ^{2}\theta \cos ^{2}\theta }{\left({\sqrt {\lambda ^{2}-\cos ^{2}\theta }}\right)^{3}}})\end{array}
En considérant que le système est de rendement 1 ( on récupère toute la chaleur dégagé lors du refroidissement, que la manivelle tourne à vitesse constante, et que les inerties sont négligeables, on peut considérer que θ(t)=w*t avec w, la vitesse angulaire constante.
La puissance du moteur est donné par P= F*v=C*w avec v la vitesse temporelle et w la vitesse angulaire. test 123
===== II.Partie expérimentale : =====
Nous allons calculer le rendement du moteur avec un régénérateur constitué d'aluminium, et comparer ce rendement, avec le rendement du moteur sans régénérateur. Nous garderons tous les autres paramètres constants (dans la mesure du possible).
De même si nous allons étudier les différents rendements avec des régénérateurs constitués de matériaux différents.
Il existe une très grande diversité de moteurs Stirling. On les classe généralement en fonction de leur configuration géométrique.
Nous étions partis sur un première prototype, un moteur stirling Alpha.
Voici le schéma et un photo tiré d'internet pour mieux comprendre le système :
Légende :
1: Échangeur thermique partie chaude
2: Echangeur thermique partie froide
3: Bielle partie chaude
4: Bielle partie froide
5: Roue en acier partie chaude
6: Roue en acier partie froide
7: Axe
8: Bague anti-frottement
9: Bielle partie chaude
10 et 11 Pistons partie chaud et froide
12 : tube en acier communiquant
13 : Régénérateur
14 : tube en Pyrex
Suite aux contraintes lié à la conception et aux matériels techniques disponible nous nous sommes finalement dirigé vers un moteur gamma qui est tout aussi bien pour étudier le fonctionnement d'un moteur stirling
Voici le schéma :
Voici la vidéo du moteur dont on a pris le modèle et sur lequel on va expérimenter:
Voici les composants :
Le piston

Le déplaceur

La plaque froide

Tube laiton

Joints toriques

\
Résumé de la phase de fabrication
La fabrication de notre moteur s'est déroulé au Fablab, ainsi nous avons pu profiter de l'impression 3D et des différents outils mis a dispositions pour mener à bien le projet.
Pièces imprimées :
La majeure partie du corps du moteur à été fabriqué en ABS (volant d'inertie, support du volant, déplaceur, corps cylindrique du moteur…). Les impressions se sont déroulées très correctement au fablab (hormis pour le volant d’inertie et le corps du moteur qui n’étaient pas imprimables pour cause de panne de machine et difficultés avec celles disponibles : les pièces se décollaient de la plateforme en plein fonctionnement). Les pièces demandaient encore à être travaillées.
Nous avions besoin de percer un trou (taraudé) à 45° dans le déplaceur et d'y insérer la vis d’arrêt qui maintient celui-ci à son arbre. Ceci a du être réalisé à la main faute d'outil pour procéder avec précision et n'a pas été très concluant. (une solution temporaire a été de posé un point de colle sur la base en faisant attention de repartir la colle sur la totalité du « moyeu »)
Il faut ensuite faire l'assemblage des deux parties du déplaceur, qui requiert que chaque colonne de la partie inférieur du déplaceur soit collée au disque supérieur. Ces colonnes permettent de repartir les efforts de pressions entre les deux faces du déplaceur.
Pour se faire on applique légèrement de l'acétone sur la surface a coller pour dissoudre une fine partie des filaments d'ABS, on assemble, puis on laisse évaporer l'acétone: l'ABS se re-solidifie alors et consolide nos deux pièces originelles en une seule.
Pour le reste, nous avons percé nos autres pièces et effectué le lissage au papier de verre de l'intérieur du corps cylindrique pour minimiser les frottements avec le déplaceur (situé dans le corps du cylindre).
Pièces non-imprimées :
D'autres part certaines pièces n'ont pas été imprimé, car elles représentent des pièces dites « de puissance » pour le fait que la plupart des gros efforts (de pression, de frottements …). Pour réaliser les articulations, les arbres, et l'axe de la roue d'inertie nous avons utilisé des cordes à piano en inox toutes de diamètre 1 ou 3 mm.
Axe de la roue :
Nous avons aussi utilisé deux roulements à billes pour diminuer les frottements de l'axe de la roue d'inertie lors de sa rotation. Cependant le diamètre de l'axe (d=3mm) était inférieur au diamètre intérieur des roulements prévus (diamètre int= 3.16mm, diamètre ext: 10mm), et nous avons eu du jeu sur la liaison. Nous avions des roulements de rechange (diamètre int=3mm) mais cette fois c'est le diamètre extérieur de ceux-ci qui ne permettait pas leur insertion dans le support de la roue libre.
Pour remédier au problème nous avons utilisé une vis M4 pour remplacer l'axe, et vissé des écrous de part et d'autres des roulements sur les bagues interieur pour diminuer le jeu, il se trouve que cela convient très bien et est même préconisé pour des montages de roulements en « porte à faux » : où la charge appliquée sur l’axe se trouve loin du barycentre formé par les deux roulements.
Piston :
Le cylindre du et le piston moteur ont été réalisés à partir de tubes cylindriques. Ici nous avons besoin que le diamètre extérieur du piston corresponde au diamètre intérieur du cylindre pour assurer l'étanchéité. Ces pièces requirent alors un tournage qui a été réalisé par Mr Ferrerira (que nous remercions pour le temps et l’aide qu’il nous a accordé) et des coupes de profilés réalisées par la société TARTAIX . Le cylindre extérieur du piston a été réalisé en laiton tandis que le piston a été fait en aluminium de sorte à diminuer la friction lors du glissement du piston dans le cylindre moteur pour assurer la fluidité du mécanisme .
Table coeff. friction: https://mechguru.com/machine-design/typical-coefficient-of-friction-values-for-common-materials/
Plaques :
Dans notre moteur, la source froide et la source chaude prennent la forme de deux disques métalliques, un froid et un chaud, que nous avons choisi en aluminium. D'abord car c'est un matériau relativement facile d'accès, pratique à travailler, et aussi pour sa conductivité thermique.
Table conductivité :https://fr.wikipedia.org/wiki/Liste_des_conductivit%C3%A9s_thermiques
En effet, si la majeur partie du moteur est en ABS (et donc isolante car en plastique), on a en revanche besoin d'une bonne conductivité thermique pour les sources chaudes et froides, et ce, non seulement pour permettre le transfert thermique à travers le moteur, mais aussi pour s'assurer que cette chaleur est bien distribuée et éviter d'éventuelles fluctuations de température. Nous avons pu perforer nos disques en utilisant la Dremmel et la perceuse mis à disposition au fablab. Il a fallu percer 6 trous de montage dans le disque chaud pour le montage du corps du cylindre du moteur Stirling sur les plaques. Le disque froid à trois trous supplémentaires: un pour monter le support de la roue d'inertie, un deuxième pour que le piston puisse exercer une pression sur le gaz situé dans le corps cylindrique du moteur, et un autre qui permet le mouvement vertical de l’arbre du déplaceur.
Le reste des composants non fabriqués ou usinés au fablab sont les joints toriques utilisés pour l'étanchéité du moteur (Société Sol. Elastomères ) et bien sur les vis et les écrous (Fablab et Leroy Merlin).
Prise en main d'un moteur stirling, utilisation de capteurs et d'un tensiomètre. Etude du dispositif en mode récepteur et moteur.
Dans le but d'approfondir nos connaissances pour monter notre propre Moteur Stirling, et de nous familiariser avec différentes méthodes d'acquisition et de mesures que l'on appliquera ensuite sur notre moteur pour validation de performances. (Thermocouples, Frein de Prony, mesures de vitesse de rotation…)
Après le choix des pièces et des matériaux, nous avons ensuite débuté la conception du moteur au Fablab.
On a travaillé sur le logiciel Up! qui permet d’ouvrir les fichiers stl, et de paramétrer l'impression 3D.
vue à l'intérieur de l’imprimante 3D

Pour toutes les pièces on va utiliser le polymère thermoplastique (ABS), un remplissage à 100% (permet obtenir une plus grand résistance à la pression que va subir la pièce lors du fonctionnement du moteur).
Lors de l'impression le plastique se décollait parfois du plateau à cause de plusieurs raisons, le plateau n'est pas à niveau, il n'y a qu'un seul point de chauffe au centre du plateau, le plastique imprimé loin du centre peut se décoller.
On va ensuite décider avec M.Dupuis comment usiner les pièces en aluminium car il n'y a pas de machine adapté au Fablab.
- achat de pièces :
- imprimé une pièce 10 euros
Budget prévisionnel : 30/40 euros
Recherches théoriques sur le moteur (étude de la thermodynamique et de la cinétique des moteurs de Stirling)
Création de la page Wiki Répartition des rôles : Santha s'occupe Wiki, Axell va s'occuper de la rédaction de l'article Souhail et Matthieu de la conception du moteur stirling Chacun à son rôle, mais il y aura de l'entraide pour certaines tâches, les rôles pourront évoluer au fil du temps.
Choix du moteur stirling : Alpha Recherche sur la conception de moteur de Stirling de type alpha, étude de la cinétique pour ce moteur spécifique.
08/02 Souhail et Axell proposent finalement de concevoir un moteur de Stirling de type gamma qui comporte moins de pièce qu'un moteur de Stirling de type alpha. Axell continue à étudier le théorie sur le moteur. Souhail fait des recherche des moteurs qui ont été déjà conçu et fait l'inventaire de ses pièces. Matthiew fait des recherches sur les pièces. Santha rédige le wiki.
Réunion d'équipe où l'on parle de la conception du moteur et on dessine un schéma du moteur stirling, pour avoir une vu globale du système que nous allons concevoir. Appropriation du logiciel Texmaker pour la réaction de l'article. Diagramme de Gantt préliminaire, utilisation du logiciel GanttProject
Axell commence l'article Latex. Souhail et Matthiew effectue un TP Moteur Stirling pour s’approprier les connaissances nécessaire dans le but de monter notre propre Moteur Stirling. Santha rédige le wiki.
22/02 : Nous nous sommes ainsi décidés à faire deux moteurs : Un montage mécanique afin de montrer un fonctionnement en mode nominale avec chauffage externe, et un montage en impression 3D pour un modèle adapté au fonctionnement en basse température (Application solaire), esquisse de plan disponible
23/02 : Discussion au fablab avec un technicien afin de nous renseigner sur le processus et les plastiques à disposition. On continue les plans à main levée. Test des plastiques ABS et PLA sous sollicitation thermique.
01/03 : Avancement dans la rédaction du document Latex et du wiki. Ecriture du mode opératoire du montage des pièces du moteur. Etude d'un fichier .stl pour l'impression 3D.
08/03 : Impression d'une partie des pièces du moteur gamma avec une imprimante 3D. 14/03 : Impression de deux pièces du moteur gamma avec l'imprimante 3D
15/03 : Il y a une pièce que nous ne pouvons pas imprimé au Fablab car la bonne machine n'est pas fonctionnelle , nous avons donc décidé d'imprimer cette pièce dans une autre université.Estimation du prix. Impression du cylindre au Fablab de l'UPMC. Choix des matériaux pour les prochaines pièce. Recherche des pièces supplémentaires à acheter. Suite de la rédaction de l'article: partie théorique. On trique le support des pièces.
Problème rencontré : La machine à des difficultés à imprimer certaines pièces .
22/03 : achat des dernières pièces, trois joints toriques. Discussion par rapport aux méthodes que nous allons employer pour mesurer la vitesse de rotation de notre moteur. Il nous semble que l'utilisation d'un Tachymètre optique sera le plus adapté. De même pour mesurer la puissance cédé par le moteur nous allons utilisé un frein dynamométrique le frein de Prony.
25/ 03 : Finitions des derniers perçages et fixation de la partie tournante haute du moteur, touts les pièces 3D sont imprimées. On a quelques problèmes de correspondance des trous avec les cordes de piano. On essaye de réadapter notre système pour palier à ce problème. On a aussi marquer certaines plaques pour les percer 28/03
30/03: Assemblage des pièces du moteurs.
31/03: Le moteur est entièrement assemblé, il reste quelques points de colles à ajouter.
Sites internet:
https://fr.wikipedia.org/wiki/Moteur_Stirling http://www.moteurairchaud.com/chaleur.php http://ridders.nu/Webpaginas/pagina_ervaringen_tips_stirlings/ervaringenstirlings_frameset.htm http://odpf.org/images/archives_docs/22eme/memoires/EquipeF/memoire.pdf https://fr.wikipedia.org/wiki/Syst%C3%A8me_bielle-manivelle
Ouvrages: Thermodynamique 1ere et deuxième année JP FAROUX J'intègre