The team:
ALTMAN Einat, Scale model designer, Arduino programmer einat.altman@etu.upmc.fr
AUMAITRE Eloi, Scale model builder, Wiki responsible aumaitre.eloi@etu.upmc.fr
LAVILLUNIERE Léo, Recyclor, Scale model builder lavilluniere.leo@etu.upmc.fr
MERCIER Mathias, Scale model designer, Special envoy mercier.mathias@etu.upmc.fr
TELLAL Salim, Stylish searcher tellal.salim@etu.upm.fr
—
Supervisor: DUFOUR Thierry thierry.dufour@upmc.fr
Nowadays, energy production is one of our society's main concern. In fact, the European Union and 195 nations participated in the COP21 summit in order to negociate a global agreement on the reduction of climate change. In accordance to the result of the negociation, these countries agreed to reduce significantly the emissions of greenhouse gas. In that spirit, the focus of the current research is on finding new ways to produce renewable energies and improve the efficiency of the ones already existing. Marine energy is one of those energetic alternatives to polluting energies. In our project, we will focus on tidal energy. It is a simple production way that can be adapted to many cases. It is also very convenient as it is both productive and easy to evaluate.
26/01/2018: First group session:
Creation and validation of the project's summary, division of labour, Gantt diagram, beginning of the theoretical researches and documentation
30/01/2018: Opening of the Wiki Hydraulic Energy
01/02/2018: First meeting with Thierry Dufour; strategic redirection of the project by focusing more on the turbine theory; visit of the Fablab Sorbonne.
02/02/2018: Second group section:
- visit of the d'Alembert laboratory to obtain a permission for the use of simulation programs
- meeting with Pierre Thery, technician in geosciences, to ask for experiment material
- search of a turbine and alternator acquisition
- downloading of a software of drain simulation and fluid mechanics equations solving: OpenFOAM
- listing of the experiment's material
04/02/2018: Theoritical part, expression of the maximum power extracted by the turbine from the water depending on the height difference on both sides of the barrage and on the turbine's blade swept area.
07/02/2018: Translation of the wiki; meeting and description of the project to Loïc Labrousse; recover of material in the Fablab 56-66 3rd floor. Measurement of the plexiglas plaques recovered.
08/02/2018: First sketch of the scale model, we take into consideration the dimensions of the plaque.
12/02/2018: first sketch of the turbine's fuselage with Openscad.
14/02/2018: Research on alternators' theory
18/02/2018: first tests of plexiglas cutting, we are facing a problem: the plaques are too thick, the material melts when cut and breaks jigsaw's blades.
19/02/2018: new drawing of the scale model
24/02/2018: Reuse of computer ventilators' alternator; we still did not find an easy and clean way to cut the plexiglas properly
01/03/2018: sketch of the turbine's fuselage with the ventilators' alternator's dimension
06/03/2018: Last modelisation and printing of the front surface, head of the fuselage
10/03/2018: Last modelisation and printing of the fixation axe, it's a failure 3D printers can be very reluctant.
11/03/2018: Last modelisation and printing of the fuselage's central part.
17/03/2018: Last modelisation and printing of the rotating axe and fixation axe.
24/03/2017: We finally managed to cut the plexiglas for the parts, 3 ,4 ,5 and 6 with a big jigsaw borrowed to a neighbour
30/03/2018: Upload of the wiki; Thiery Dufour and Stéphane Simon gave us material to highlight turmoils in the scale model. Last modelling and printing of the turbine's blade.
04/04/2018: We finished cutting the pieces we needed for the container, we need to find a way of sticking them together. We now adjust and assemble the different parts of the turbine together.
05/04/2018: We test the strength of the glue made of plexiglas' shaving and acetone. It's a success.
06/04/2018: We make more glue and start to assemble plexiglas pieces.
11/04.2018: We continue assembling the plexiglas parts and write the program we will use to mesure the power provided by our turbine.
Key words: turbine, alternator, energy converter, energy transfer, potential energy, kinetic energy, viscous friction, charge losses, yield, (two-way) blade incidence, flow/debit, water speed, pressure difference, steady state
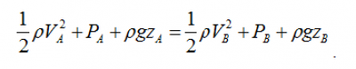
At ebb tide, the estuary is full and spreads into the ocean. The potential energy is converted into kinetic energy as the water drains off. A part of this energy is taken from the water by the turbine's blades, which rotates and generates an electric flow thanks to an alternator. In a nutshell, hydraulic energy is transformed into electric energy.
The mass flow is supposed as conserved, water is considered as incompressible, the surfaces Supstream and Sdownstream are identical. Therefore, the water speeds Vupstream and Vdownstream are equal: Vupstream=Vdownstream
Using this data, the water's power transferred to the turbine can be determined. See the demonstration here
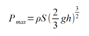
The optimum velocity of the upstream water flow (which can be modified depending on the blades incidence with respect to the water flow vector) can be calculated by taking the derivative of the power with respect to Vupstream. Whence:
- Optimum velocity of the upstream water flow
- Maximum power of the water on the turbine
<note>See reference (2)</note>
The diameter of surface swept by the turbine's blade should be about 5cm. The theoretical maximum extractable power is:
The generator is a machine that produces electrical energy from mechanical energy. It is inspired by the Faraday law of induction. Copper coils are used as conductors and permanent magnets induce a magnetic field. Both magnets and copper coil can rotate inside the generator to induce a current in the coil.
Alternators are the the workhorse of the power generation industry. They are capable of generating AC power at a specified frequency. they are also called as synchronous generator. Electricity is produced in alternators by electromagnetic induction. To generate Electricity in a coil, Either the coil hould rotate with respect with magnetic field or a magnetic field with respect to the coil. It creates induced current. In the case of an alternator the latter approach is used. Rotor and armature coiled are the two main parts of the alternator. Rotor produces a rotating magnetic flux and armature coils are stationary. The rotating magnetic flux associated with the rotor induces electricity in the armature coils. this kind of rotor is known as salient pole rotor.
In order to have o have a better understanding lets see with juste 4 poles. Rotor coils are excited with a DC power source. Magnetic field produced around it would be shown. The rotor is made to rotate by a prime mover.
This makes the rotor flux also rotate along with it, at the same speed . Such a revolving magnetic flux now intersects armature coils, which is fitted around the rotor. This will generate an alternating EMF across the winding.
For this four pole system when the rotor turns half revolution, induced EMF takes one complete cycle. Consequently it can be easily established that, frequency of induce EMF, rotor speed and number of poles are connected through following relationship:
It is clear here that, frequency electricity produced is synchronized with mechanical rotational speed. For producing 3 phase AC current, two more such armature coils which are in 120 degree phase difference with the first is put in the stator winding.
Generally one end of these three coils are Star connected, and three phase electricity is drawn from the other ends. It is clear from this equation that, in order to produce 60-hertz electricity a 4-pole rotor should run at following RPM.
Such huge rpm will induce a tremendous centrifugal force on polls of the rotor, and it may fail mechanically over the time.
So salient polel rotors are generally having 10 to 20 polls, which demands lower RPM. Or salient pole rotors are used when the prime mover rotates at relatively lower RPM.
Pole core is used to effectively transfer the magnetic flux, and they're made with fairly thick steel lamina. Such insulated lamina reduce energy loss due to eddy current formation. Armature winding of three-phase, 12 poll system is shown here.
A stator core is used to enhance the magnetic flux transfer. DC current is supplied to rotor via a pair of slip rings.
DC current is supplied from an external source or from a small DC generator which is fitted on the same prime mover. Such alternators are called self excited. With variation of load, Generator terminal output voltage will vary. It is desired to keep the terminal voltage in a specified limit. An automatic voltage regulator helps in achieving this. Voltage regulation can be easily achieved by controlling the field current. If the terminal voltage is below the desired limit, AVR increases the field current, thus the field strength. This will result in an increase in terminal voltage. If terminal voltage is high, the reverse is done.
Here are some screenshots of the preview from UP! for our turbine's parts. They show the rotation axis, the fixation for the alternator and the kaplan. You can also find the .stl files for these parts below.
Fixation
http://fablab.sorbonne-universites.fr/wiki/lib/exe/fetch.php?media=wiki:projets:3p024:fixation.rar
Alternator's fixation
http://fablab.sorbonne-universites.fr/wiki/doku.php?ns=wiki%3Aprojets%3A3p024%3A&image=wiki%3Aprojets%3A3p024%3Afixation_alternateur.zip&do=media&tab_files=files&tab_details=view
Some blades with a different pitch angle
http://fablab.sorbonne-universites.fr/wiki/lib/exe/fetch.php?media=wiki:projets:3p024:turbine_generator_20.rar
http://fablab.sorbonne-universites.fr/wiki/lib/exe/fetch.php?media=wiki:projets:3p024:turbine_generator_25.rar
http://fablab.sorbonne-universites.fr/wiki/lib/exe/fetch.php?media=wiki:projets:3p024:turbine_generator_30.rar
http://fablab.sorbonne-universites.fr/wiki/lib/exe/fetch.php?media=wiki:projets:3p024:turbine_generator_35.rar
http://fablab.sorbonne-universites.fr/wiki/lib/exe/fetch.php?media=wiki:projets:3p024:turbine_generator_40.rar
Kaplan
axe_rotation_3_kaplan_final_fixation_alternateur_2.zip
Pour mener cette expérience a bien, nous devions créer une maquette utilisable nous permettant de reproduire un courant d'eau passant à travers la turbine. Nous avions comme contrainte de n'utiliser exclusivement ou presque que des matériaux de récupération. Ainsi pour faire le corps de notre maquette nous avons déjà opté pour un bac en plexiglas récupéré auprès d'un laboratoire ne l'utilisant plus. Nous avons récupéré par la même occasion des grandes chutes de plexiglas que nous avons utilisé pour créer les compartiments interne du modèle. La seconde grande contrainte était le fait que les découpes devaient être très propre afin de pouvoir faire des collages bien étanches.
Nous avons donc découpé ces plaques de plexiglas irrégulières. Le principal problème était qu'elles étaient d'une épaisseur plutôt importante d'entre 13 et 16 mm. Nous avons donc envisagé plusieurs manière de les couper afin de les avoir aux dimensions voulues.
Dans un premier temps nous avons essayé avec une scie à métaux. Solution qui s'est avérée a la fois longue, imprécise et ne fonctionnant que sur des petites portions car l’épaisseur du dos de la scie empêche d'avoir une coupe correcte sur les plus longues longueurs.
Nous avons ensuite essayé de faire les découpes à la scie sauteuse. Technique tout aussi infructueuse pour plusieurs raisons. Tout d'abord l’imprécision naturelle de l'outil ne permet pas d'avoir une découpe précise. De plus la friction de la lame à haute vitesse fait fondre le plexiglas mais sans enlever de copeaux. Tordant ainsi la lame de la scie sauteuse et abîmant l'outil. Le résultat de la découpe est très très brouillon.
Enfin nous avons finalement opté pour une solution d'usinage plutôt que de sciage au moyen d'une défonceuse avec une lame tête droite de 4 mm guidée par une règle de maçonnerie accrochée à la pièce avec des serre-joints. Cette solution permet d'enlever des copeaux au fur et à mesure et permettant ainsi une découpe propre. Afin d'avoir une surface de rendu la plus propre possible en prévision du collage de ces planches, nous avons passé un coup de ponceuse vibrante avec un papier de verre de grain 400.
Nous avons finalement nettoyé les planches avec de l'essence de térébenthine.
Construction de l’hélice :
Partie Mécanique des Fluides :
Choix de la turbine
L'on distingue deux types de turbines :
Les turbines à actions qui sont plus adaptés aux grandes chutes et aux faibles vitesses, qui récoltent l'énergie cinétique des chutes d'eau.
Les turbines à réaction plus adapté aux faibles chutes et aux forts débits, qui récoltent à la fois l'énergie cinétique et l'énergie de pression.
Pour ce projet nous avons choisis le deuxième type de turbines, et plus précisément une turbine de type Kaplan, en se basant entre autres sur l'usine marémotrice de la Rance.
Principe
Lors de l'écoulement, l'on part du principe que le fluide étudié est incompressible que son écoulement est stationnaire et que l'on néglige les effets visqueux.
Vitesse axiale
On appelle vitesse axiale, la composante des particules fluides dans le sens de la conduite.
On a donc l'équation de Bernoulli qui est la suivante :
Selon cette équation, dans une ligne de courant, lorsque le diamètre de la conduite est réduit la vitesse de la particule fluide augmente et la pression diminue, c'est ce que l'on appelle l'effet Venturi. Les particules fluides ont donc une plus grande énergie cinétique lors de leurs passages dans la conduite B, car leur vitesse axiale augmente. Cela permet un meilleur captage de l'énergie du fluide par la turbine.
Cependant la différence de pression ne doit pas priver de tout mouvement le fluide en aval de la conduite.
Pour cela il faut 2 choses :
-que la chute d'eau en amont de la conduite soit suffisante pour compenser le delta de pression généré par l'hélice
-que l'hélice ne capte pas toute la composante axiale de la vitesse des particules fluides pour qu'il puisse avoir encore assez d'énergie pour s'écouler en sortie. Pour cela il faut que le rendement de l'hélice ne soit pas supérieur à 60% de l'énergie cinétique du fluide, c'est la limite de Betz.
Nous verrons maintenant que cette limite n'est pas insurmontable en prenant en considération une autre particularité de l'écoulement du fluide.
Vitesse tangentielle
Nous avons aussi la possibilité de capter l'énergie relatif à la vitesse tangentielle du fluide, qui est la composante de la vitesse qui n'est pas axiale. Cette vitesse est générée par les parois du conduit lorsque l'eau entre en contact après la chute.
Tout l'énergie dégagée par la vitesse tangentielle peut être capter par l'hélice, ce qui permet d'augmenter le rendement de l'hélice et d'avoir en sortie une vitesse du fluide uniquement axiale.
La puissance hydraulique du site et la puissance produite:
P(brute)= Q(m/s) x H(m) X ρ(kg/m3) x g(m/sec²)
Partie Technique :
Pour la construction de l'hélice, on s'est tout d'abord basé sur un modèle 3D trouvé sur internet d'une turbine Kaplan, qui est le type de turbine que nous visions. Ce modèle 3D, nous avons dû le modifier plusieurs fois à l'aide de plusieurs logiciels tels que Openscad ; TinkerCad et Ansys AIM 19.0, pour pouvoir l'assembler à notre maquette.
Après avoir adapté la turbine pour qu'elle convienne à nos dimensions, nous l'avons analysée avec Ansys AIM 19.0 pour pouvoir faire une simulation de la turbine en condition réelle.
Nous avons donc entré les caractéristiques de l’expérience, en plus du modèle 3D, tels que la matière dont est faite la turbine (on a supposé de l'acier pour la version final) et les caractéristiques du fluide (l'eau en l’occurrence). On a procédé ensuite à un maillage de la turbine toujours avec le même logiciel.
Puis l'on à lancé la simulation, en partant du principe que le fluide viendrait au contact de chaque pâle à 10m/s^-1.
Commentaires des résultats : Les indicateurs colorés (représentation du vecteur vitesse sous la forme de petites flèches) sur les images précédentes font références à la vitesses de chaque points de la turbine. L'échelle de couleurs va du bleu (faibles vitesses) au rouge (grandes vitesses).
A partir des résultats obtenus on a conclu que la turbine était efficace avec un rendement élevé compte tenu des conditions de la simulation. On obtient une vitesse maximale pour un point de la pâle de 140,72 m/s^-1 avec une moyenne pour toute les pâles de la turbine de 57.011 m/s^-1.
Sachant que sur chaque pale la vitesse du flux d'eau était de 10 m/s-1.
Nous avons ensuite imprimé ce fichier de la turbine.
We assembled the turbine's fuselage pieces with the alternator in it.
We melt shavings of plexiglas into acetone to make glue and started to stick the plexiglas pieces.
Fichier 3D de l'hélice : kaplan_final.zip {{ :wiki:projets:3p024:axe_rotation_3_kaplan_final_fixation_alternateur_2.zip |}}
Here is the first schema of the scale model (1), we went to the geoscience's lab to see if they could help us find or give us a box of Plexiglas that they use for their experiments.
We started to design the fuselage of the turbine on Openscad:

The vertical tube is designed for the copper wires to pass through and channel the electric flow. The cylinder inside the fuselage represents the generator. It is used here as a scale. The two-parts spike links the helix to the generator.
In order to mesure the power produced by our turbine, we want to connect it to an Arduino card wich will record the voltage and print it as a table along with the timer.
In order to do that, we write the following program :

The first part states the pins we will use - here we will put the red wire on the A0 analog pin of the Arduino and the black wire on the Ground, declares the variables used in the program, as well as the chart that we are going to use to stock our values. We also declare a variable for the timer called temps.
Then, in the setup part, we initialize de program and state that the analogInput pin will be used as an input pin, wich means we are going to read the values coming from that pin.
Moving on to the loop part, we first read the values sent by the analogInput pin with the analogRead function and convert them to Volts. The if loop states that if the value read is inferior to 1.75V, we will consider it as noise, wich means the real value is 0V. We then stock that value in the chart we created previously and print it in the table along with the time in milliseconds. That loop will be repeated as long as we want it to.
When testing that program with a generator, we obtain the following table :
We can export these values into an Excel table to make a graph like this :
You can find the proper Excel file here :
voltage_en_fct_du_temps.ods
(1) Yang Zhaoqing, Copping Andrea : Marine Renewable Energy: Resource Characterization and Physical Effects, 2017, consulted the 24/02/2018
(2) Renaud Carpentier, Benoît Dépret : La Physique en application, 2014, consulted the 02/02/2018
(3) Heliciel, Heliciel.com, consulted the 05/02/2018