Ceci est une ancienne révision du document !
Porteurs du projet :
Objectif : modélisation analogique d'un impact météoritique lunaire
On va utiliser des billes de verre et de métal pour simuler les météorites
Rappel : Vsphère = 4/3*π*r^3
Voici les valeurs associés :
| Diamètre (mm) | Masse(g) | Volume (m³) | masse volumique (kg.m³) | |
|---|---|---|---|---|
| Verre1 | 35,27 | 57,5 | 2,2972856581687E-05 | 2502,95385754668 |
| Verre2 | 33,55 | 48,7 | 1,97731652466884E-05 | 2462,93395075714 |
| Verre3 | 24,61 | 19,7 | 7,80429115774403E-06 | 2524,25231219777 |
| Verre4 | 16,33 | 5,7 | 2,28011723062727E-06 | 2499,87146425445 |
| Verre5 | 12,21 | 2,4 | 9,53115679620539E-07 | 2518,05741036125 |
| Acier A1S | 30,0 | 19,7 | 1,41371669411541E-05 | 7802,12898801603 |
| Acier A1S | 20,0 | 5,7 | 4,18879020478639E-06 | 7711,05699280233 |
| Acier A1S | 10,0 | 2,4 | 5,23598775598299E-07 | 7639,43726841098 |
On veut d'abord estimer une valeur de vitesse de chute
On établit la vitesse d'un objet en chute libre (seule la gravité s'exerce sur l'objet) :
nous avons là la vitesse de l'objet au moment de l'impacte, l'objet commencent avec une vitesse nul et donc doit accélérer, la vitesse n'est pas constante
On doit faire une intégrale
…
on a
On en déduit que
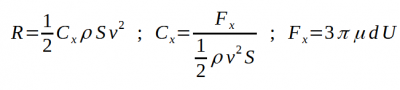
avec μ la viscosité dynamique de l’air (18.10⁻⁶m².s⁻¹ ), d le diamètre de la sphère (30. 10⁻³ m) et U la vitesse de la bille (en m.s⁻¹)
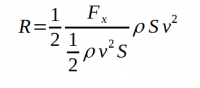
On cherche à déterminer la résistance
formule sphère
on prends les bille d'acier de 30 mm de diamètre
| N° lancer | Hauteur (m) | Temps (s) |
|---|---|---|
| 1 | 4,37 | 0,974 |
| 2 | 4,37 | 0,825 |
| 3 | 4,37 | 0,954 |
| 4 | 8,64 | 1,400 |
| 5 | 8,64 | 1,186 |
| 6 | 8,64 | 1,494 |
| 7 | 8,64 | 1,491 |
On utilise le logiciel Audacity
On a pu avoir accès à un télémètre de meilleur qualité (porté > 30 m)
séance 4
| N° lancer | Hauteur (m) | Temps (s) | Resistance |
|---|---|---|---|
| 1 | 8,6 | 1,452 | 3,1 |
| 2 | 8,6 | 1,47 | 3,06 |
| 3 | 27,7 | 2,697 | 5,37 |
| 5 | 27,7 | 2,636 | 5,5 |
| 6 | 27,7 | 2,703 | 5,36 |
Lancer n°4 a rebondit sur le mur
Pour les prochaines séances
Pour simuler une sorte de faille, on utilise 2 briques enterrées dans le sable
séance 8
On fait la même opération avec sable humide et sable sec
On remarque qu'avec sable humide, la bille s'enfonce profondément et fait peu d’éjectas

modélisation 3d de l'impact sur sable humide (Blender)
séance 9
Durant les séances précédentes, nos modification de matériaux ont induit des variations dans la cohésion et la friction.
Or il nous a été indiqué que cohésion et friction vont contrôler la pente de l'impacte (cf cercle de Mohr).