Aller au contenu
FablabSU
Outils pour utilisateurs
S'identifier
Outils du site
Rechercher
Outils
Afficher la page
Anciennes révisions
Liens de retour
Derniers changements
Gestionnaire Multimédia
Plan du site
S'identifier
>
Derniers changements
Gestionnaire Multimédia
Plan du site
Vous êtes ici:
Accueil
»
wiki
»
projet
»
stirling
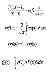
wiki:projet:sans_titreed.png
sans_titreed.png
Date:
2017/03/31 14:51
Nom de fichier:
sans_titreed.png
Format:
PNG
Taille:
15KB
Largeur:
164
Hauteur:
254
Utilisé par:
stirling
En raison des restrictions dans les ACL et de pages cachées, cette liste peut ne pas être complète.
Outils de la page
Retour vers wiki:projet:stirling
Haut de page