Synthèse de mélanoïdine
Synthèse de mélanoïdines par réaction de Maillard
1. Objectif
L’objectif de cette expérience est de produire des mélanoïdines, pigments bruns issus de la réaction de Maillard entre un sucre réducteur Glucose et un acide aminé Glycine, et de suivre l’évolution de la réaction par analyse spectrophotométrique UV–Visible.
2. Principe
La réaction de Maillard implique la condensation entre une fonction carbonyle d’un sucre réducteur et une fonction amine d’un acide aminé. Cette réaction conduit progressivement à la formation de composés intermédiaires puis de polymères azotés de haut poids moléculaire, appelés mélanoïdines, responsables du brunissement du milieu.
L’augmentation de l’absorbance dans l’UV et le visible est un indicateur de l’avancement de la réaction.
3. Matériel et réactifs
- Eau distillée
- Glycine
- Glucose
- Plaque chauffante avec agitation magnétique
- Bécher (200 mL)
- Thermomètre
- Spectrophotomètre UV–Visible
- Cuvettes (trajet optique 1 cm)
4. Conditions expérimentales
|
Paramètre |
Valeur |
|
Volume de solution |
180 mL |
|
Masse de glycine |
4,5 g (soit 25mg/mL) |
|
Masse de glucose |
5,4 g (soit 30mg/mL) |
|
Température |
90 °C |
|
Durée totale |
≈ 1 h |
5. Procédure
① La glycine et le glucose ont été dissous dans 180 mL d’eau sous agitation. Le pH est contrôlé entre 6,5-7,5.
② La solution a ensuite été chauffée à 90 °C sous agitation constante.
③ Des prélèvements d’1 mL ont été réalisés à intervalles t=10min afin de suivre l’évolution spectrale de la solution. (Spectre 260nm-550nm)
④ La réaction a été arrêtée après environ 1 heure, lorsque la solution a atteint la coloration cible.
6. Observations visuelles
Au cours du chauffage, la solution initialement incolore a progressivement évolué vers une teinte jaune, puis ambrée, indiquant la formation de produits de brunissement.
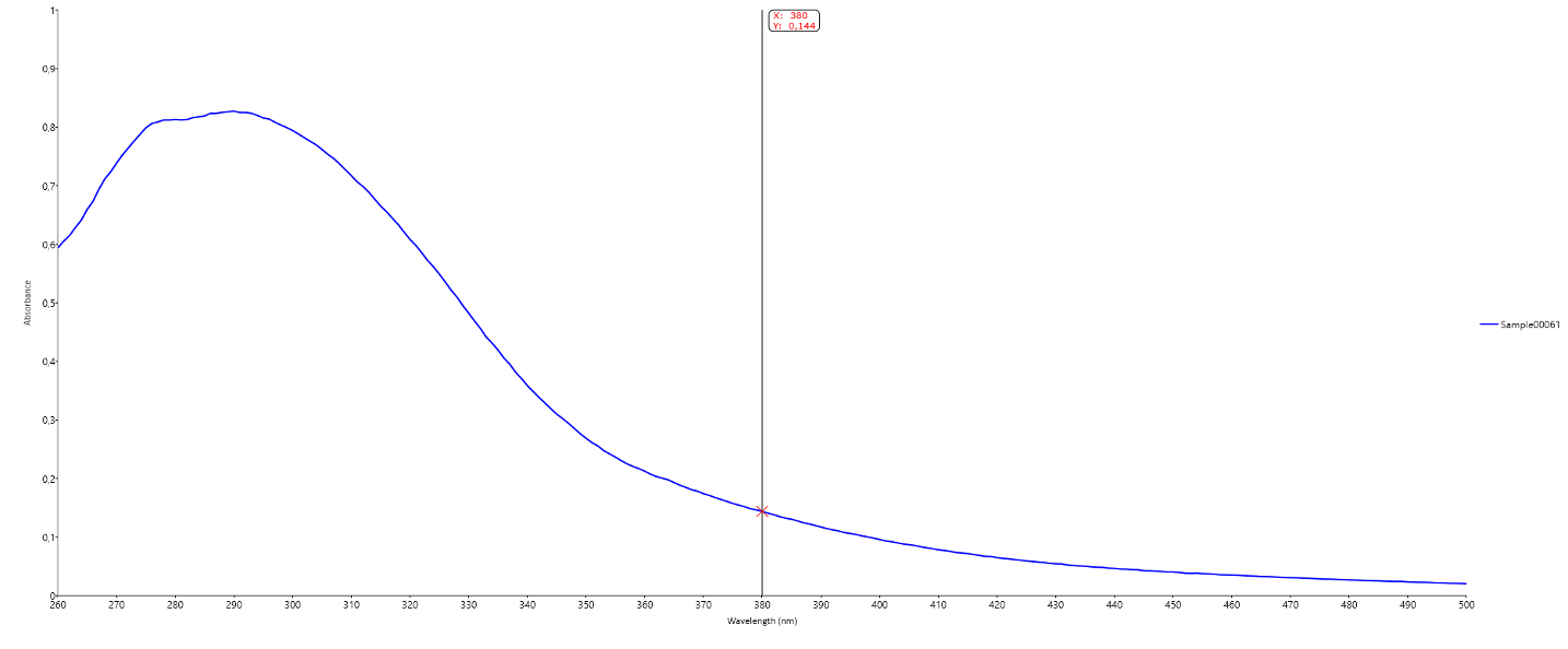
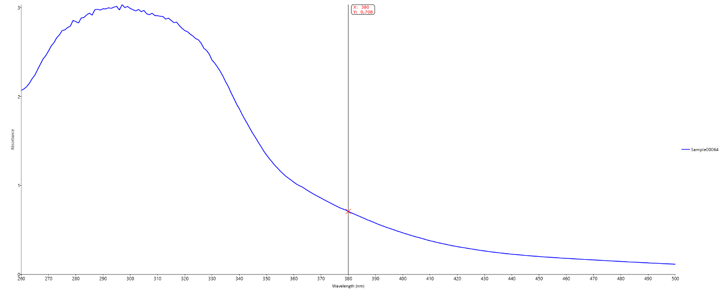
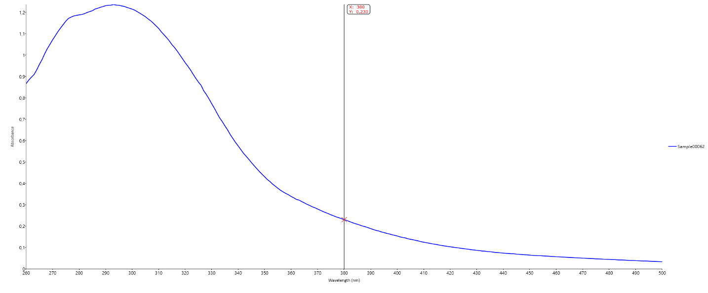
7. Suivi spectrophotométrique
Les spectres UV–Visible ont été enregistrés au cours du temps. Nous avons réalisé deux fois l’expérience.
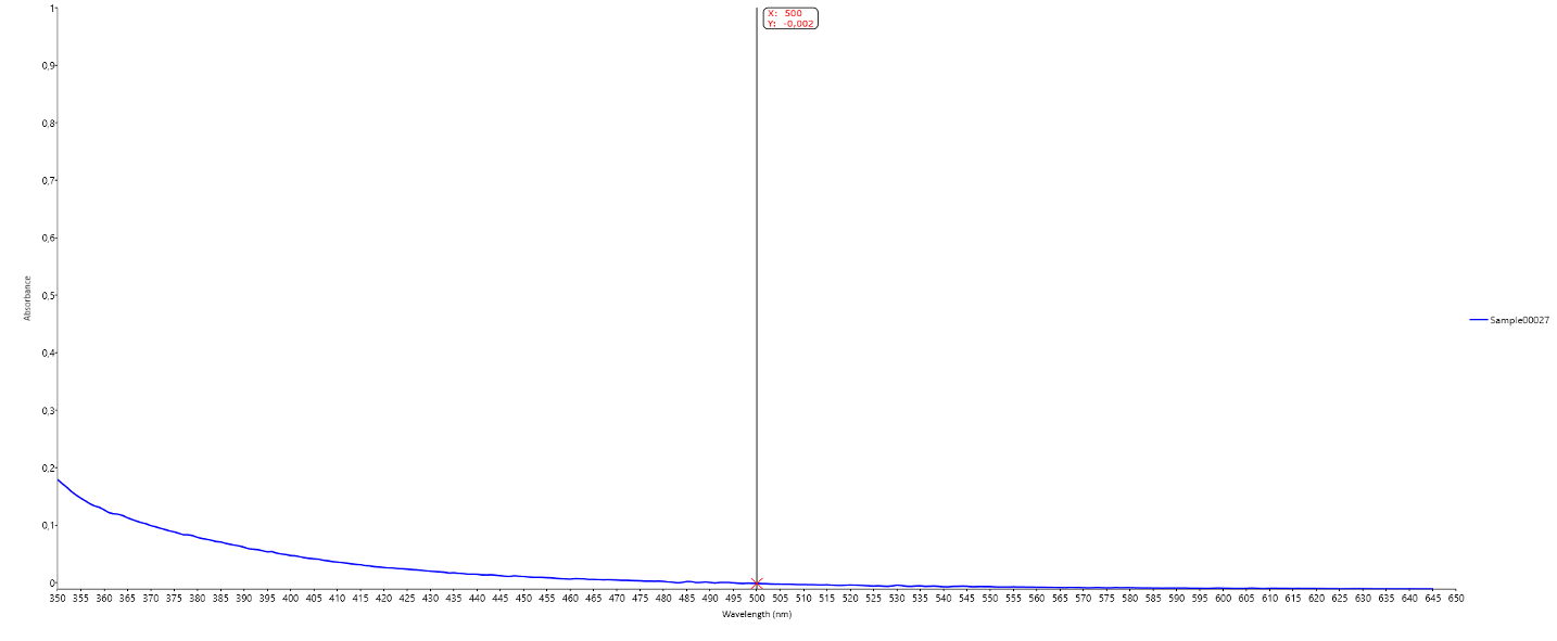
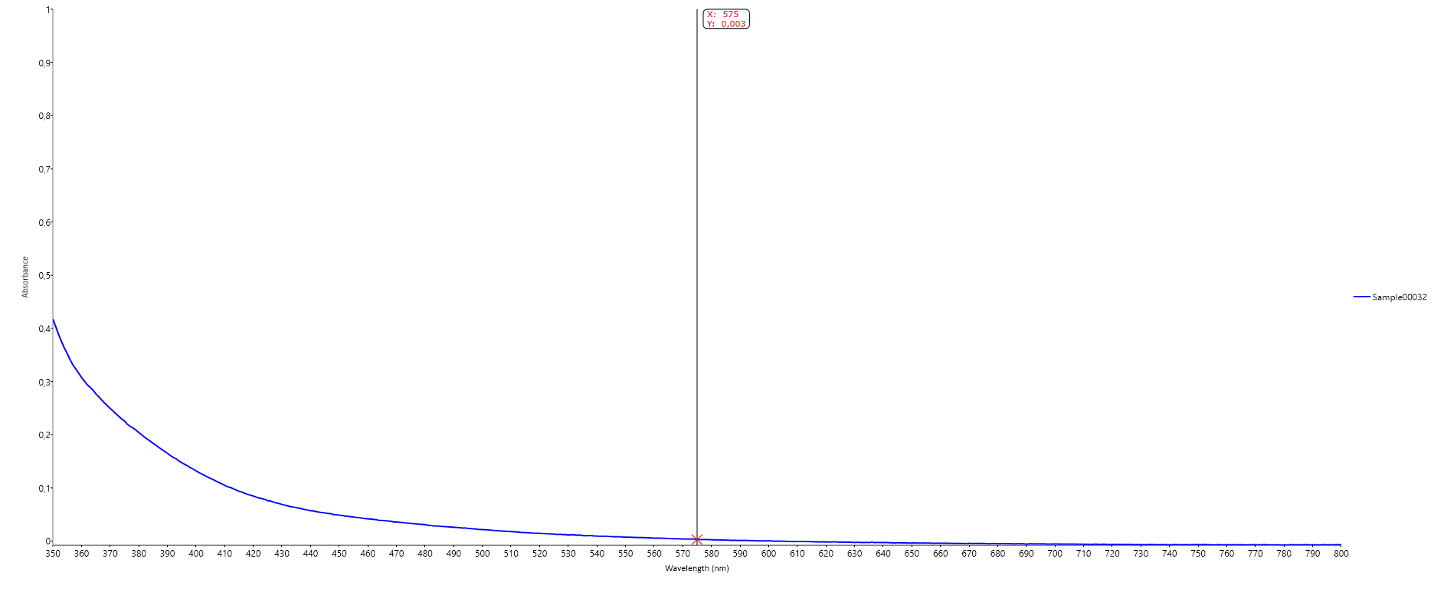
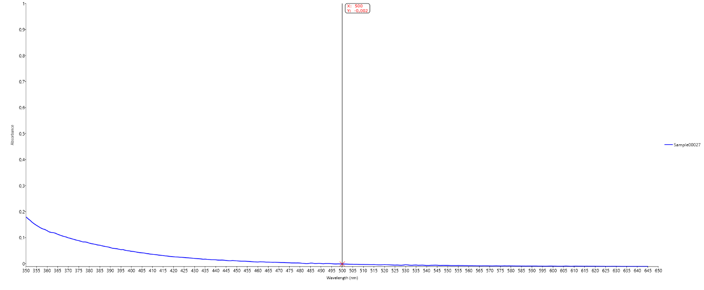
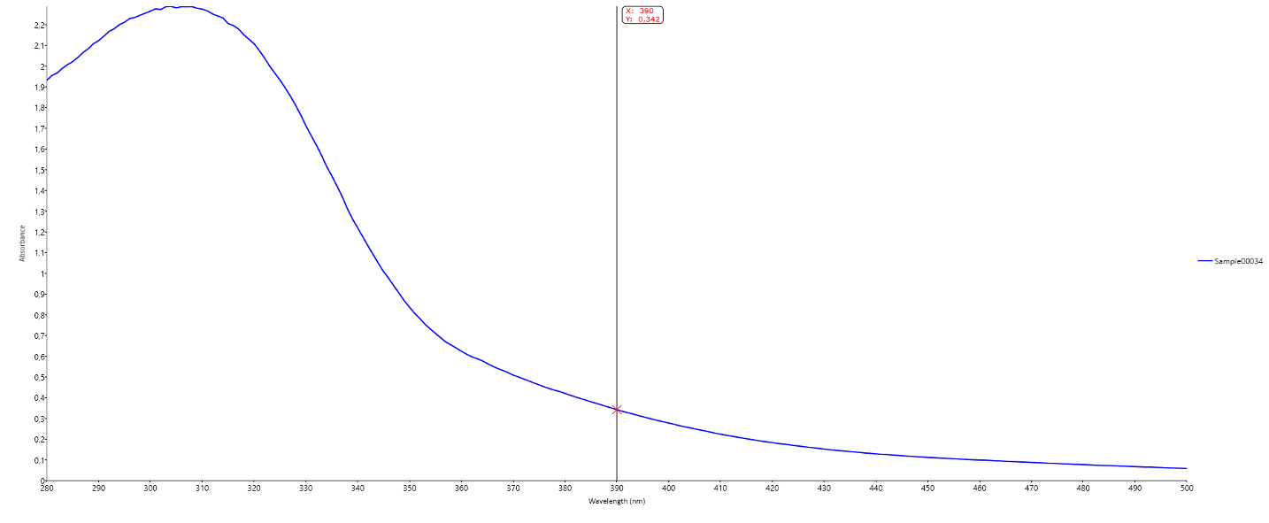
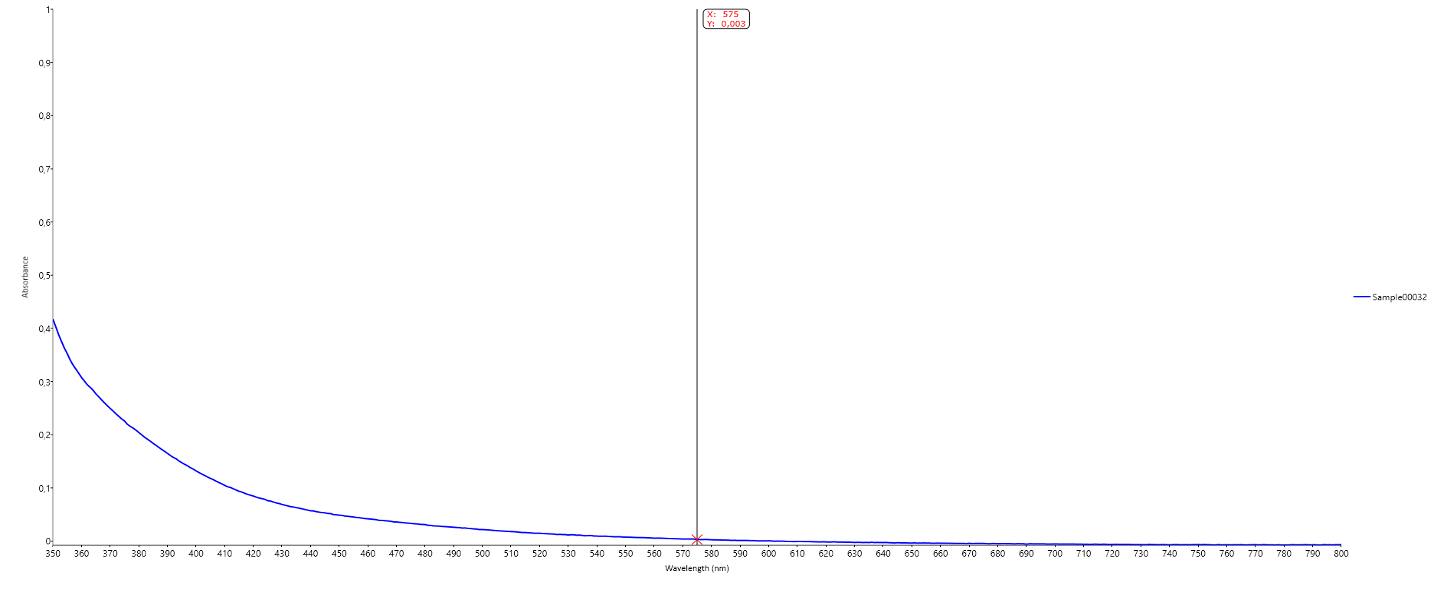
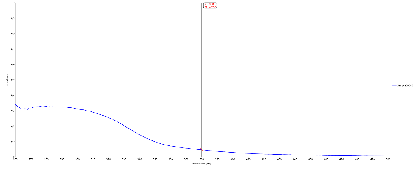
La première fois on avait fixé la gamme entre 350 nm et 800 nm pour repérer une absorption dans le visible. Pourtant nous avons observé une bande à gauche de spectre autour de 300 nm.
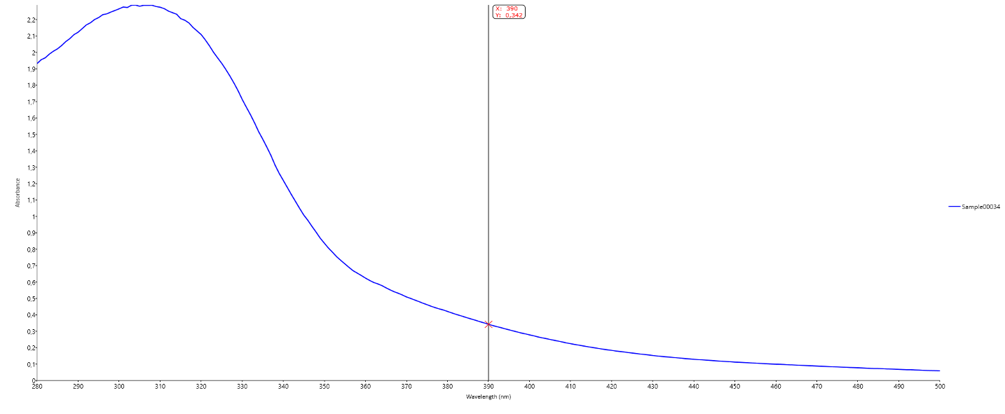
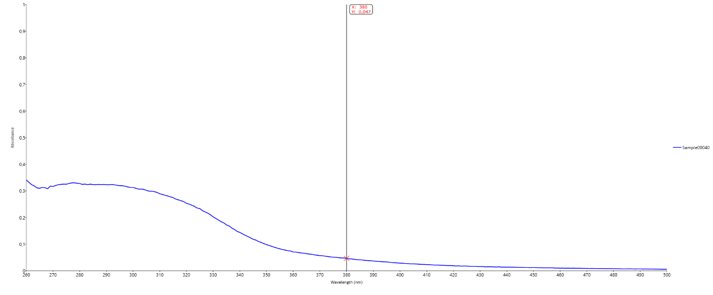
La deuxième fois on avait changé la gamme entre 260 nm et 550 nm selon le spectre obtenu auparavant.
Spectre 1 (350-800nm)
Témoins
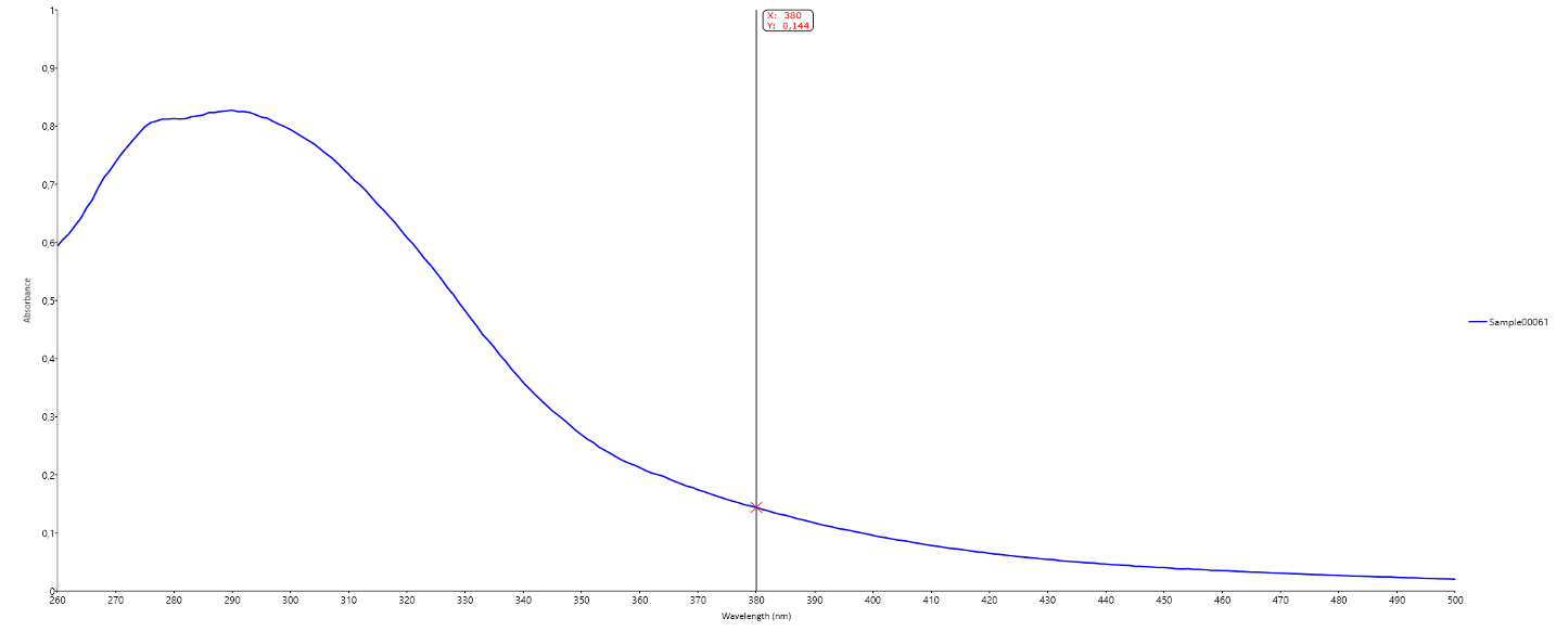
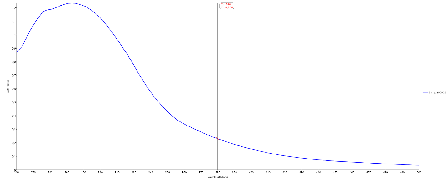
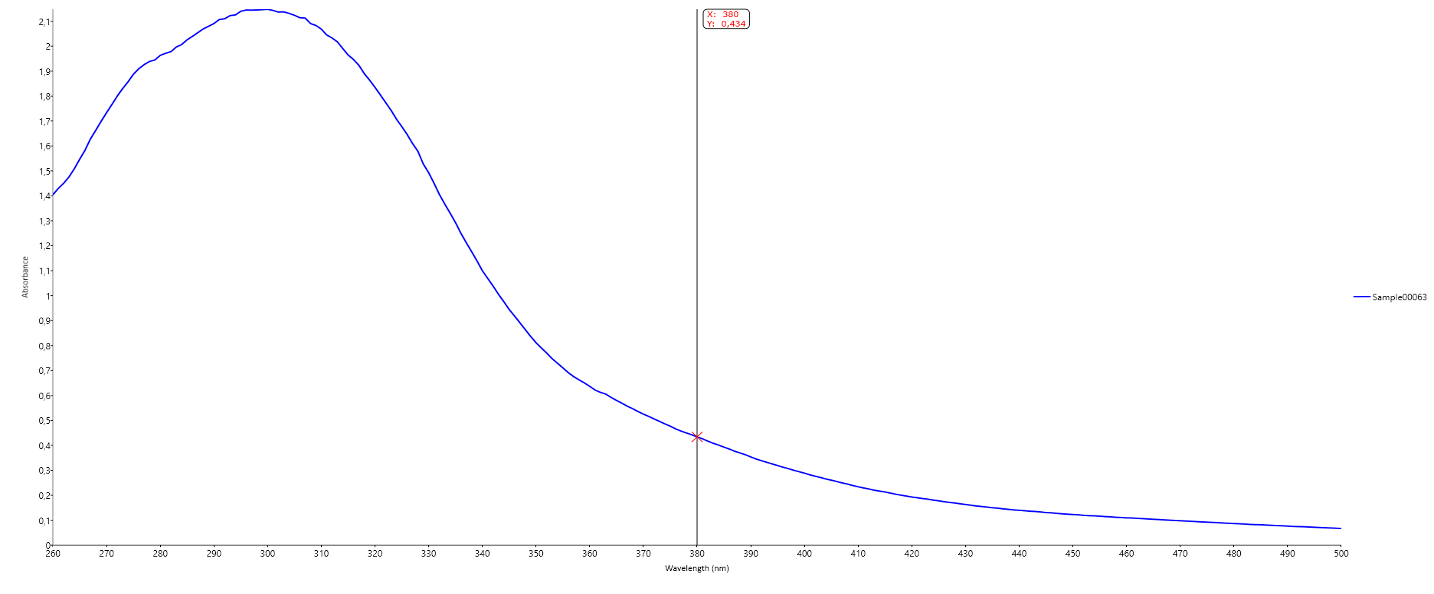
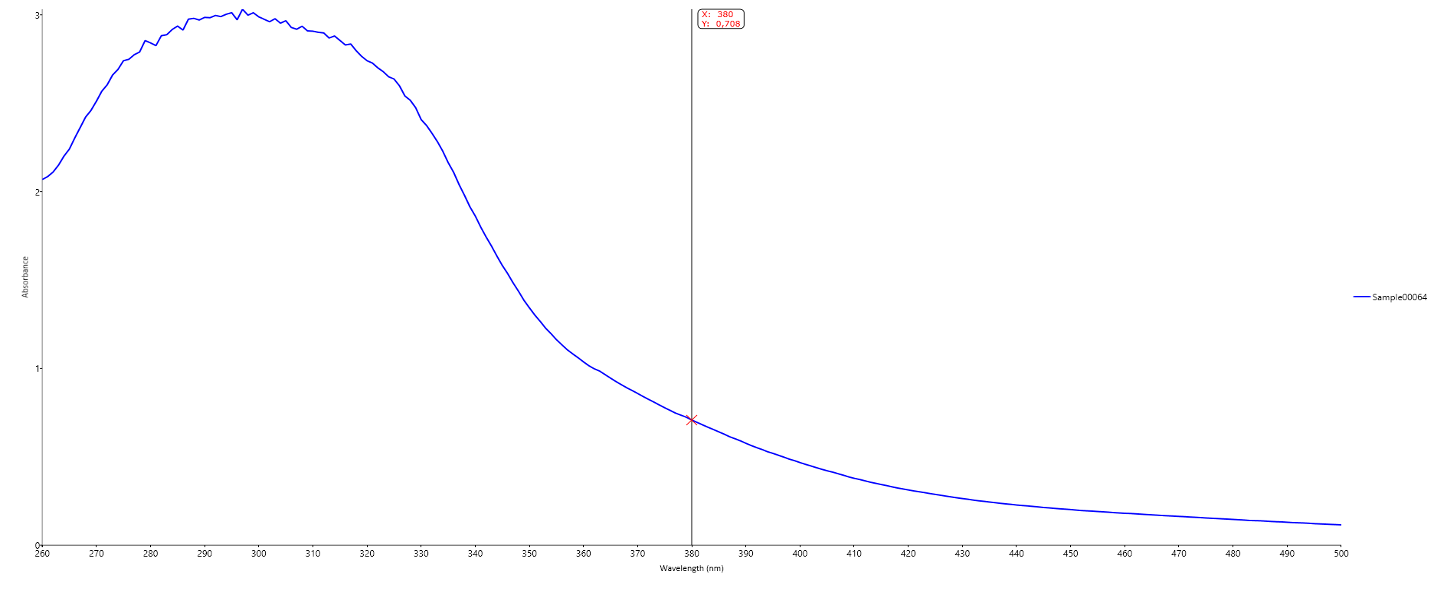
Spectre 2 (260-550nm)
t=0 (90゜)
t=10min
t=20min
t=30min
t=40min
t=50min
t=60min
Observation:
Pendant les 20 premières minutes de réaction, une bande d’absorption a commencé à apparaître dans l’UV, autour de 220 nm. Ce pic n’est pas complet dans le spectre et n’est pas impliqué dans la domaine visible.
L’absorbance associée à une bande centrée autour de 290 nm a progressivement augmenté au cours de la réaction à partir de 20 minutes, passant d’environ 0,3 à près de 3,0 en fin d’expérience.
Cette évolution traduit la formation croissante de composés absorbant fortement dans l’UV, caractéristiques des produits intermédiaires et finals de la réaction de Maillard.
8. Interprétation
L’apparition rapide d’une bande autour de 220 nm correspond à la formation de composés intermédiaires issus des premières étapes de la réaction de Maillard (bases de Schiff, produits d’Amadori et dérivés carbonylés), qui sont incolores mais permettent les transformations suivantes.
L’augmentation progressive de l’absorbance autour de 290 nm traduit la formation de structures conjuguées de plus en plus complexes, menant à des polymères bruns mélanoïdines.
=> Même si ce pic à 290 nm n’est pas exactement dans la domaine visible, du fait que nous avons observé un changement évident de la couleur à partir de 20 minutes, nous avons constaté que ce pic correspondait aux composés de la couleur, qui est le mélanoïdine. (Pour être sûr nous pouvons comparer le produit avec le produit standard de mélanoïdine si possible d’en commander. Normalement il est absorbé au tour de 420nm.)
La corrélation entre l’évolution spectrale et le changement de couleur visuel confirme l’avancement de la réaction et la synthèse de produits de brunissement.
9. Conclusion
La réaction de Maillard entre la glycine et le glucose à 90 °C conduit, en environ une heure, à la formation de mélanoïdines observables visuellement et mesurables par spectrophotométrie UV–Visible.
L’augmentation de l’absorbance à 220 nm indique la formation de produits intermédiaires et la génération de pigments bruns de haut poids moléculaire.




















No Comments