Dénombrement des bactéries du sol
1) Préparation de l'échantillon
J'ai récupéré du terreau très riche. J'ai pesé 1g de ce terreau et je l'ai dilué dans 10mL d'eau physiologique stérile. Il faut vortexer et homogénéiser cette préparation pendant 10 minutes. On obtient une solution colorée marron.
2) Mise en culture liquide
J'ai préparé un milieu LB. Pour se faire il faut peser 20g de LB dans 1L d'eau distillée et l'autoclaver à 121°C . J'ai ensuite mis 10mL de ce milieu LB dans un petit erlenmeyer et 200µL de l'échantillon. Au bout de 24h on obtient un trouble ce qui indique que les bactéries se sont multipliés.
3) Dilution en série et étalement sur boite.
A partir de la culture liquide, faire des dilutions dans de l'eau physiologiques stériles. Puis étaler 0,1 mL des trois solutions les plus diluées et faire minimum 2 boites pour chaque dilution.
4) Calcul de la concentration en bactéries
Après la période d'incubation nécessaire, procéder au comptage des colonies pour chaque boîte contenant
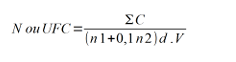
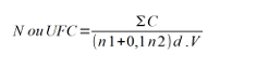
moins de 300 colonies pour les milieux classiques ( gélose nutritive, LB agar) et moins de 150 colonies pour les miliex sélectifs ( milieu Chapman, Drigalski). Le calcul de la concentration en micro-organismes [N] présents dans l'échantillon essai est une moyenne pondérée à partir des résultats de 2 dilutions successives. Pour que le calcul soit valable, il est nécessaire de compter sur au moins une boîte contenant au moins 15 colonies selon la formule suivante :

Σc : la somme de toutes les colonies comptées sur toutes les boîtes retenues (et tel que au moins une des boîtes
comptées contenait au moins 15 colonies).
V : le volume de l'inoculum appliqué à chaque boîte (généralement 1ml en masse et 0.1ml en surface)
n1 : le nombre de boites retenues à la première dilution (en général 2).
n2 : le nombre de boites retenues à la deuxième dilution (en général 2).
d : le taux de dilution de la première dilution retenue pour les comptages sur boîte
Dans mon exemple seule une dilution a permis de compter les bactéries :
2 boites : nb colonies = 158 nb colonies = 207
Dilution : 10^-6 V=0,1mL
N = (158+207)/(2*10^-6*0,1)= 8,9*10^8 UFC/mL
No Comments